Недостаток пространственно-инвариантных фильтров – устранение не только высокочастотного шума, но и полезных высокочастотных составляющих изображения – может быть преодолен при помощи адаптивной фильтрации.
В этом способе реализуется (рис.2):
• разбиение исходного изображения на области относительно
малых флуктуаций яркости и области с отчетливыми черно-белыми
переходами в различных направлениях;
• локализация черно-белых переходов с помощью дифференциальных операторов с последующей Pruning-фильтрацией (pruning-отрезать).

Рис.2. Сигнально-адаптивное сглаживание.
Положим, что исходное изображение со спектром
зашумлено и поэтому имеет искаженный энергетический спектр
. Если из него вычесть среднее значение энергетического спектра шума, то результирующий спектр:
(13)
где
– амплитуда спектра шума.
При этом необходимо убедиться, что нет поворота фазы на 180°,
т.е.
.
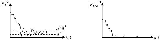
Действие Pruning-фильтра на примере преобразования энергетического спектра иллюстрирует рис.3:

Рис.3. Действие Pruning-фильтра.






