Оценка стратегического плана
Оценка стратегического плана проводится путем сравнения результатов работы с целями. Оценка должна проводиться системно и непрерывно, охватывать все уровни организации, отвечать на следующие вопросы:
- совместима стратегия с возможностями организации;
- допустимая величина степени риска;
- достаточность ресурсов для реализации стратегии;
- учет внешних опасностей и возможностей;
- является лучшим способом применения ресурсов фирмы.
Существует ряд критериев, которые используются при оценке стратегии:
- количественные (доля рынка, рост объема продаж, потерянные дни, уровень затрат производства и сбыта, текучесть кадров, удовлетворенность работников, чистая прибыль, курс акций);
- качественные (способность привлечь квалифицированных специалистов, расширение объема услуг клиентам, снижение количества опасностей, использование возможностей).
Синхронными машинами (СМ) называются такие электрические машины переменного тока, скорость вращения ротора которых не зависит от величины нагрузки, а находится строго в постоянном соответствии с частотой сети f.
|
|
|
Применение.
Синхронные машины (СМ) относятся к категории высокообратимых, т.е. они эффективно работают как в двигательном, так и в генераторном режимах. При этом синхронные машины (СМ) вырабатывают практически
100% электроэнергии переменного напряжения (синхронные генераторы (СГ) общепромышленного применения, турбогенераторы, гидрогенераторы). Синхронные двигатели (СД) используются в широком диапазоне электроприводов. И при этом в диапазоне мощностей выше 100 кВт, они вытесняют асинхронные двигатели (АД) из-за более благоприятного воздействия на сеть, ввиду возможности регулировать реактивную мощность Q (повышать cos u энергосистемы).
Конструкция.
Как любая электрическая машина, синхронная машина (СМ) состоит из двух узлов: статорного и роторного.
Статор состоит из толстостенного корпуса, выполненного из магнитопроводящего материала, подшипниковых щитов, двух пар подшипниковых крыш, клеммной коробки. Пакет статора так же, как и в асинхронном двигателе (АД), шихтованный с выштампанованными пазами, в которые укладывается обмотка статора (обмотка якоря).
Ротор (индуктор) состоит из вала, втулки и полюсов индуктора. На полюсах индуктора располагается обмотка индуктора (обмотка возбуждения), питаемая постоянным током. Существует две модификации ротора: явнополюсная (гидрогенератор) и неявнополюсная (турбогенератор).


(гидрогенератор) (турбогенератор)
Принцип действия.
А). Режим генератора.
Ротор синхронного генератора (СГ) приводится во вращение специальным приводным двигателем. Постоянное напряжение подается на обмотку индуктора. Вращающееся поле индуктора, воздействует через зазор на проводники статора (якоря), наводя в них ЭДС. Если замкнуть выводные клеммы на сеть (нагрузку), то в нее от синхронного генератора (СГ) будет отдаваться переменное напряжение, а по обмотке якоря будет протекать ток.
|
|
|
Б). Режим двигателя.
К статору подводится питание от трехфазной цепи. При протекании токов по трем фазным обмоткам статора, сдвинутым друг относительно друга на 120° в пространстве, создается вращающееся электромагнитное поле статора (в момент пуска обмотка возбуждения должна быть отключена или зашунтирована большим сопротивлением). Воздействие через зазор на короткозамкнутую демпферную обмотку ротора, первичное поле статора наводит в ней ЭДС.
В демпферной обмотке наводятся электромагнитные силы, которые и приводят ротор во вращение (т.е. точно так же, как и в асинхронном двигателе (АД)). При этом ротор вращается с некоторым скольжением, как в асинхронном двигателе (АД). При достижении скорости вращения ротора, близкой к скорости вращения поля статора (якоря), на индуктор подается постоянное напряжение и ротор втягивается синхронно со строго постоянной скоростью n.
Магнитная система синхронных машин (СМ).

Расчет магнитной цепи проводится для определения намагничивающей силы обмотки возбуждения. Намагничивающая сила обмотки возбуждения определяет параметры обмотки возбуждения, необходимые для достижения требуемой величины ЭДС Х.Х. При этом задается, определяющий величину Е0, основной магнитный поток Ф0,величина которого в свою очередь зависит от величины номинальной входной мощности. Ограничениями при расчете являются величины магнитной индукции на участках магнитной цепи. В процессе расчета подбираются такие сечения участков магнитной цепи, чтобы индукции в них были наилучшими с точки зрения магнитной проводимости и рационального использования активных материалов. На основании полученных значений индукции на участках определяют соответствующие им значения магнитной напряженности по кривым B=µH. Умножив значения Hi (А/м) на длины силовых линий магнитного потока через эти участки li(м), получим значения намагничивающей силы на отдельных участках цепи

Просуммировав значения намагничивающей силы на участках, получаем величину намагничивающей силы обмотки возбуждения синхронной машины (СМ).
Формулы расчета намагничивающей силы на участках:

Bs-магнитная индукция в зазоре,
-длина воздушного зазора,
Кδ- коэффициент воздушного зазора.
НС на участке зубцов якоря:

НС на участке полюсов индуктора:

НС на участке ярма индуктора:

НС на участке ярма якоря(статора):

Суммарная НС ОВ:

Замечания.
1. Расчет FОВ производится на пару полюсов.
2. После расчета суммарной НС обычно умножают ее на коэффициент запаса (обычно 1.05-1.10)
Уравнение баланса напряжений и ЭДС и векторная диаграмма СГ.
Уравнение баланса СГ:

Эта формула соответствует неявнополюсной конструкции СГ. Для явнополюсной конструкции ЭДС реакции якоря:

Ead-соответствующая ЭДС реакции якоря по продольной оси (совпадающей с осью полюсов).
Eaq- соответствующая ЭДС реакции якоря по поперечной оси (проходит по середине межполюсного пространства).
E0-ЭДС холостого хода, создаваемая потоком обмотки возбуждения.
Неявнополюсный СГ:

Явнополюсный СГ:


ЭДС снижения напряжения на активных сопротивлениях обмотки якоря:

На основании уравнения баланса можно построить векторную диаграмму СГ. Векторная диаграмма позволяет без проведения испытаний СГ определять величину изменения выходного напряжения, род нагрузки (cosφ) и величину отдаваемой полезной мощности СГ в сеть.

1. выбираем направление осей d и q. С осью d совпадает по фазе магнитный поток Фm.
|
|
|
2. соответствующие токи Iad и Iaq располагаем по соответствующим осям, по ним строится результирующий ток Ia.
3. ЭДС Eaq и Ead опережают по фазе соответствующие токи на 90?. ЭДС Er в противофазе с результирующим вектором Ia. Eσ как всегда отстает от результирующего тока на 90?.
Складывая геометрически вектора всех ЭДС в соответствии с уравнением баланса, получаем величину вектора выходного напряжения генератора Uг.
Кроме того, получаем угол φ, характеризующий род нагрузки и величину выходной мощности.
Замечания.
1. для построения ВД величиной Ia можно задаваться, а значения параметров СГ (ra, xa,xσ) нужно знать (определять).
2. данная ВД построена с графическим искажением (величина Uг обычно 70-90 % от E0).
3. ВД строится как в прямом (от E0 к Uг), так и в обратном направлении.
4. ВД строится в масштабе токов и напряжений.
5. данная ВД построена для случая активно-индуктивной нагрузки. В этом случае реакция якоря является размагничивающей.
Магнитное поле синхронных машин (СМ) при симметричной нагрузке.
Магнитное поле, в работающей под нагрузкой синхронной машиной (СМ), образуется током в ее обмотке возбуждения, а также симметричной системой токов в трех фазной обмотке якоря. В образовании основного магнитного поля, соответствующего первой гармонике магнитной индукции, принимает участие намагничивающая сила обмотки возбуждения с амплитудой

а также первая гармоника намагничивающей силы обмотки якоря с амплитудой
(8)
Если синхронная машина (СМ) имеет ненасыщенную магнитную систему, то можно принимать допущения о том, что магнитное сопротивление имеет лишь одну составляющую – сопротивление воздушного зазора. В этом случае магнитная цепь синхронной машины (СМ) можно считать линейной, и основное магнитное поле можно представить в виде суммы двух полей.
На рисунке направление намагничивающей силы обмотки возбуждения Ff и потока обмотки возбуждения Фf совпадает с осью полюсов d и определяется током обмотки возбуждения If. ЭДС обмотки возбуждения Еf, индуктированная в обмотке якоря полем обмотки возбуждения, как всегда отстает от соответствующего потока Фf на 90°. Намагничивающая сила якоря Fa совпадает по направлению с током якоря Ia и зависит от величины и рода нагрузки, на которую включена синхронная машина (СМ). В зависимости от нагрузки угол 
может быть равен от 0 до 2
(180°).
|
|
|
В неявнополюсной синхронной машине (СМ) разницы между продольными и поперечными осями нет, так как зазор между статором и ротором по всей окружности одинаковый. Поэтому токи и намагничивающая сила на составляющие по осям не раскладываются.
Векторная диаграмма и схема замещения для рассматриваемого случая имеют следующий вид:


Влияние нагрузки на поле якоря, а, следовательно, и на результирующее поле синхронной машины (СМ), просмотрим на примере упрощенных векторных диаграмм для различных видов нагрузки.

активная нагрузка чисто индуктивная нагрузка

чисто емкостная нагрузка
Реакция якоря и параметры синхронной машины (СМ).
В явнополюсных синхронных машинах (СМ) воздушный зазор не является постоянным из-за наличия большого межполюсного пространства. Синусоидальная кривая основной первой гармоники намагничивающей силы реакции якоря взаимодействует с основной первой гармоникой намагничивающей силы, при этом создается результирующая намагничивающая сила, ось которой смещена по отношению к осям полюсов синхронной машины (СМ). В синхронном генераторе (СГ) – против направления вращения, в синхронном двигателе (СД) – по направлению вращения.
При этом амплитуда реакции якоря по продольной оси равна:
Для составляющих намагничивающей силы обмотки возбуждения справедливы следующие формулы:
(9)
коэффициент приведения НС реакции якоря по продольной оси к НС обмотки возбуждения (коэффициент продольной реакции якоря);
kf-коэффициент формы поля возбуждения;
kd-коэффициент формы поля продольной реакции якоря.
Отсюда можно получить значение составляющей тока обмотки возбуждения по продольной оси:
(10)
Ead пропорциональна Fad и соответственно Id. Откуда:
где Xad – индуктивное сопротивление якоря СМ по продольной оси.
(12)
D-диаметр ротора СМ;
lδ-длина пакета СМ;
kδ-коэффициент зубчатости;
kμ-коэффициент насыщения.
То есть Xadзависит от конструктивных параметров синхронной машины (СМ).
Величина индуктивного сопротивления якоря по поперечной оси определяется соотношением:
(13)
Здесь коэффициенты Кd, Кq, К
, К
для равномерных зазоров под полюсными наконечниками приводятся в специальных расчетных таблицах.
В реальных синхронных машинах (СМ) воздушный зазор под полюсным наконечником выполняется, как правило, неравномерным, а увеличивающимся по направлению к концам полюсов, для уменьшения высших гармоник магнитного потока.
Соответствующая ЭДС реакции якоря по поперечной оси:
(14)
Формулы (12) и (13) могут быть представлены в измененном виде, где Xad и Xaq выражены через проводимости:
(12?)

(13?)
Для неявнополюсных синхронных машин (СМ), где нет разделения по осям d и q, величина индуктивного сопротивления якоря равна:
(15)
где коэффициент проводимости равномерного зазора равен:

Помимо основного потока в реальных синхронных машинах (СМ) всегда существуют потоки рассеяния, которым соответствует индуктивное сопротивление рассеяния.
(16)
Здесь магнитная проводимость (величина обратно-пропорциональная магнитному сопротивлению) равна:

λaδ-магнитная проводимость магнитного зазора;
λап- магнитная проводимость пазового рассеяния;
λал- магнитная проводимость лобового рассеяния;
λад-магнитная проводимость дифференциального рассеяния.
Соответствующая ЭДС рассеяния равна:
(17)
Полное индуктивное сопротивление синхронной машины (СМ) равно:
(18)
Характеристики синхронного генератора (СГ).
К характеристикам синхронного генератора (СГ) относятся:
1. характеристика холостого хода (Х.Х.);
2. нагрузочные характеристики;
3. внешние характеристики;
4. регулировочные характеристики;
5. характеристика короткого замыкания (К.З.);
6. отношение короткого замыкания (К.З.).
Характеристика холостого хода.
Характеристика Х.Х. – есть зависимость ЭДС обмотки якоря синхронного генератора, неподключенного к нагрузке, от тока в его обмотке возбуждения.
Нелинейность характеристики Х.Х. обусловлена насыщением магнитной цепи синхронного генератора (СГ), при достижении тока в обмотке возбуждения If значений, близких к номинальному. Возврат нисходящей ветви к характеристике Х.Х. не в нуль, связан с остаточной намагниченностью.
Нагрузочная характеристика представляет собой зависимость напряжения на выходе синхронного генератора (СГ) от тока в обмотке возбуждения при номинальной нагрузке Ia=Iн.
В случае активной, активно-индуктивной, индуктивной нагрузок нагрузочная характеристика проходит ниже кривой характеристики Х.Х., ввиду размагничивания реакции якоря. В случае активно- емкостной, емкостной нагрузок кривая нагрузочной характеристики проходит выше характеристики Х.Х. и линии номинального напряжения, ввиду намагничивания реакции якоря.

Внешние характеристики.
Внешняя характеристика – есть зависимость напряжения на выходе синхронного генератора (СГ) от величины тока нагрузки Ia, при If=const, f1=const, n=const и cos
=const.
В случае индуктивного рода нагрузки напряжение с ее ростом снижается. В случае емкостной составляющей нагрузки напряжение с ее ростом увеличивается.

Регулировочные характеристики.
Регулировочная характеристика – есть зависимость тока в обмотке возбуждения синхронного генератора (СГ) от его тока нагрузки Ia, при поддержании постоянства выходного напряжения (U=const), f1=const,
n=const, cos
=const.
Для поддержания постоянного напряжения, при возрастании индуктивной нагрузки, требуется увеличение тока в обмотке возбуждения If, а при возрастании емкостной нагрузки – уменьшение If.

Характеристика короткого замыкания.
Характеристика К.З. трехфазной цепи – есть зависимость тока К.З. от тока в обмотке возбуждения, при U=0, f1=const, n=const, cos
=const.
Так как основной поток в воздушном зазоре при К.З. создает малую ЭДС (
), то магнитная система синхронного генератора (СГ) при таком режиме является ненасыщенной. Поэтому характеристика К.З. носит строго прямолинейный характер.
Характеристики одно- и двух - фазного К.З. носят также прямолинейный характер, причем, чем меньше фаз замкнуто накоротко, тем выше проходят характеристики К.З., ввиду размагничивающего воздействия К.З. фаз на суммарное.
Отношение короткого замыкания.
Важное практическое значение для оценки свойств синхронной машины (СМ) имеет отношение Ifo/Ifк, соответствующее отношению величин ЭДС Х.Х. (Ео), определяемое по характеристике Х.Х., к току в обмотке возбуждения при К.З., соответствующего номинальному току, определяемого по прямой трехфазного К.З.. Это отношение называется отношением короткого замыкания (К.З.), и характеризует главным образом влияние реакции якоря на систему возбуждения синхронной машины (СМ).
Обозначим ЭДС, получаемое при If=Ifo по продолжению прямолинейной части характеристики Х.Х., через Еn. Тогда отношение К.З. равно:



Xd*-относительно индуктивное сопротивление якоря по продольной оси.
Отсюда отношение К.З. имеет вид:

Для синхронных машин (СМ), работающих без насыщения магнитной системы, отношениеIfo/Ifк =1, и тогда отношение К.З.=1/Xd*
Таким образом, для ненасыщенных синхронных машин (СМ), отношение К.З. равно обратной величине относительного значения индуктивности сопротивления по продольной оси. Для синхронных машин (СМ) неявнополюсного типа отношение К.З. = (0.5÷0.7), для явнополюсных отношение К.З. = (1÷1.5).
Синхронные машины (СМ) с малым отношением К.З. имеют гораздо менее жесткие характеристики при колебаниях нагрузки, а также являются менее устойчивыми при параллельной работе.
Большие величины воздушного зазора, характерные для явнополюсных синхронных машин (СМ), приводят к увеличению отношения К.З., обуславливают жесткие характеристики и повышают устойчивость работы генератора параллельно с другим генератором, а также делают работу генератора более устойчивой при колебаниях нагрузки. С другой стороны увеличение воздушного зазора приводит к ухудшению использования активных и конструктивных материалов синхронных машин (СМ) и увеличению веса и габаритов синхронных машин (СМ).
Высокочастотный синхронный индукторный генератор.
Помимо основной частоты 50 Гц, в большой номенклатуре современных электрических технологических установок используется повышенная частота. Она применяется при электротермии, при осаждении гальвано-покрытий, очистке деталей и узлов изделий от окалины, заусенцов, ржавчины, при борьбе с грызунами на элеваторах и зерновозах.
Высокочастотный синхронный индукторный генератор относится к машинам индукторного типа. Их характерные черты:
1. отсутствие вращающихся обмоток (обмотки возбуждения на статоре);
2. ЭДС наводится за счет изменения проводимости в воздушном зазоре при вращении ферромагнитной массы ротора.
Магнитная система высокочастотного индукторного генератора имеет вид:

Характерным для высокочастотного индукторного генератора является наличие большого числа зубцов, измеряемого, как правило, в сотнях, на пакетах статора и ротора. При этом на роторе обмоток нет (зубчатое колесо). Зубцы статора разбиваются на отдельные участки между соседними пазами статора и называются гребенками. При этом конфигурация зубцовой зоны выполняется так, что, если в некий момент времени по одну сторону рабочего паза совпали оси зубцов статора и ротора, то на соседней гребенке совпали оси пазов статора и ротора.

Принцип действия.
Обмотка возбуждения, питаемая постоянным напряжением, создает основной магнитный поток, который проходит по контуру (показан пунктиром на рисунке а). В активной зубцовой зоне этот поток создает переменный поток, который перераспределяется относительно рабочих пазов через те гребенки, которые находятся в наложении «зубец-зубец».
При вращении ротора с его перемещением на одно малое зубцовое деление направление потока перераспределяется на соседние гребенки, т.е. меняет свое направление относительно паза статора на противоположное. Таким образом частота ЭДС, наводимой в обмотках статора, равна
Z2-числозубцов ротора, n-частота вращения ротора.
Эти машины относятся к СМ с пульсирующим потоком.

Ф0-основной поток, создаваемый ОВ(const).
Ф1-переменный поток, наводимый при перемещении ферромагнитной массы ротора.
Мощности и моменты синхронного генератора (СГ).
Как известно, мощность синхронной машины (СМ) определяется соотношением:

При работе генератора под нагрузкой, его режим определяется следующими величинами:
1. напряжением в сети (U);
2. собственной ЭДС генератора (Ео);
3. углом
(U и Ео).
Помимо известной электрической, угол
имеет еще и, так называемую, конструктивную интерпретацию. А именно угол
определяется угловым положением полюсов ротора относительно результирующего вращающегося магнитного потока статора. Итак, Р=f(U, Ео,
). Вместе с тем, когда генератор работает с сетью бесконечно большой мощности, то U=const, f=const. Кроме того, если синхронный генератор (СГ) работает в стационарном режиме, то его собственная ЭДС Ео=const. То есть мощность синхронного генератора (СГ) Р в этом наиболее распространенном случае зависит только от угла
.
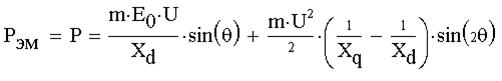
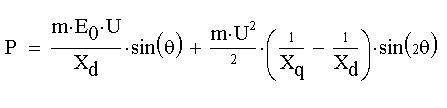
Получим общую формулу мощности синхронного генератора (СГ) для явнополюсного синхронного генератора (СГ) на основании его векторной упрощенной диаграммы при допущении, что Ra=0 (r <<< x).
Отсюда:

Откуда можно выразить составляющие токи:
(20), (21)
Путем проведения преобразований с учетом формул (20) и (21) можно получит в итоге общую формулу мощности для явнополюсного синхронного генератора (СГ):
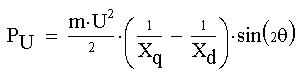
Для неявнополюсного синхронного генератора (СГ) (Xd=Xq) основная формула мощности будет иметь вид:
(22)
Первое слагаемое:
(23)
-основная составляющая мощности генератора, зависящая как от напряжения так и от собственной ЭДС генератора, определяемой его ОВ.
Второе слагаемое:
(24)
-дополнительная составляющая мощности, не зависящая от собственной ЭДС генератора.
Для неявнополюсного СГ Xd=Xq, формула (22) примет вид:
(25)
Пусть Р1 – механическая мощность, подводимая к синхронному генератору от приводного двигателя. Часть ее расходуется на покрытие потерь Х.Х.
,
а остальная часть мощности передается через рабочий воздушный зазор на статор синхронного генератора (СГ). Это электромагнитная мощность:

Полезная мощность синхронного генератора (СГ) при этом равна:

Ввиду допущения ra=0 следует Pм1~0. Отсюда формула для электромагнитной мощности СГ:
(26)
Электромагнитной мощности Рэм соответствует электромагнитный момент:
(27)
Также как в случае с мощностью Мэм имеет две составляющие:
1. основная МэME;
2. добавочная Мэмu.
Замечания.
1. Для неявнополюсного синхронного генератора (СГ) (xd=xq) значения 0<
<
/2 соответствуют устойчивым режимам работы синхронного генератора (СГ), а при значениях
/2<
Критерием устойчивости работы синхронного генератора (СГ) в стационарном режиме является dP/d
>0.
2. При
=
/2

синхронный генератор (СГ) достигает предела статической перегружаемости.
(29)
Перегрузочная способность (предельная мощность СМ) тем больше, чем меньше ее индуктивное сопротивление по продольной оси или чем больше воздушный зазор, или чем больше отношение К.З..
Синхронизирующая мощность и синхронизирующий момент.
При изменении нагрузки, под которой работает синхронная машина (СМ), возникает угол отклонения 
, которому соответствует не баланс мощности
, обуславливающий возврат синхронной машины (СМ) к исходному синхронному режиму.
Величина
тем больше, чем больше производная:

-коэффициент синхронизации мощности.
Синхронизирующая мощность СМ:

Для явнополюсных синхронных машин (СМ):
(30)
Для неявнополюсных синхронных машин (СМ):
(31)
Синхронизирующей мощности ΔP соответствует синхронизирующий момент ΔM:
(32)
(33)
Для явнополюсных СМ:
(34)
Для неявнополюсных СМ:
(35)
Параллельная работа синхронного генератора (СГ).
В энергетических системах снабжения электрической энергией крупных городов, регионов, промышленных центров, обеспечивается с использованием нескольких станций, работающих параллельно на общую сеть. При этом:
1. уменьшается потребность в больших резервах мощности станций на случай пиковых нагрузок, аварий или ремонта энергоблоков;
2. обеспечивается более рациональное распределение нагрузки между станциями;
3. достигается наилучшее использование гидравлической энергии при параллельной работе гидростанций.
При параллельном подключении синхронного генератора (СГ) на общую нагрузку необходимо соблюдение следующих условий:
1. ЭДС подключаемого к сети синхронного генератора (СГ) должна быть равна напряжению сети;
2. необходимо равенство частот ЭДС подключаемого синхронного генератора (СГ) и частоты подключаемой сети;
3. порядок чередования фаз подключаемого синхронного генератора (СГ) и сети должен быть одинаковым.
Двигательный режим работы синхронной машины (СМ).
Синхронная машина (СМ) обладает свойством обратимости, что позволяет при параллельной работе с сетью, переходить из генераторного режима в двигательный, и обратно.
Если синхронная машина (СМ) работает в режиме генератора, то ведущим является ротор, а ведомым – результирующий магнитный поток в рабочем зазоре, вращающийся синхронно с ротором (рисунок а).
А) 
Б) 
В) 
Если уменьшать постепенно механическую мощность, подводимую к валу синхронного генератора (СГ), то угол
также будет уменьшаться, в соответствии, с чем будет уменьшаться и электрическая мощность, отдаваемая синхронным генератором (СГ) в сеть. При достижении угла
=0, синхронный генератор (СГ) не выдает электрическую мощность в сеть, а вся мощность, подводимая к нему, расходуется на покрытие потерь Х.Х.
Если нагружать вал синхронного двигателя (СД) все увеличивающимся тормозным моментом, то угол
будет соответственно возрастать со знаком «-». Следовательно, будут увеличиваться механическая мощность, отдаваемая синхронным двигателем (СД) на вал, и электрическая мощность, потребляемая им из сети.
Несмотря на высокую обратимость, обычно синхронные машины (СМ) подбирают для работы в одном из двух режимов. Конструктивно синхронные двигатели (СД) отличаются более мощными демпферными обмотками, ввиду необходимости обеспечения процесса пуска синхронного двигателя (СД).
Мощности и моменты синхронного двигателя (СД).
Полезная механическая мощность синхронного двигателя Р2 выражается соотношением:
При этом электромагнитная мощность, передаваемая со статора на ротор, равна:
(36)
Электромагнитный момент аналогично выражается формулой:
(37)
Электромагнитный момент аналогично выражается формулой:


Выражение для мощности и моментов двигательного режима синхронной машины (СМ) можно получить из соответствующих выражений (уравнений) генератора, подставляя в них соответствующие отрицательные значения угла
. При этом мощности и моменты для двигательного режима получаются отрицательными. На практике, т.к. оперировать с отрицательными мощностями и моментами неудобно, то их принимают как положительные.
Для явнополюсного СД:
(38)
При допущении Pэм~0.
Для неявнополюсного СД:
(39)

(40)
Способы пусков в ход синхронного двигателя (СД).
Существуют следующие способы пуска синхронного двигателя (СД):
1. асинхронный пуск;
2. частотный пуск;
3. пуск с помощью синхронизирующих устройств.
Асинхронный пуск.
В этом случае синхронный двигатель (СД) запускается в ход аналогично способу пуска асинхронного двигателя (АД) с короткозамкнутым ротором. При таком способе обмотка возбуждения синхронного двигателя (СД) должна быть замкнута накоротко или зашунтирована через активное сопротивление, во много раз больше активного сопротивления самой обмотки возбуждения.
Последовательность пуска:
1. обмотка статора подключается к сети переменного тока. Она создает вращающееся электромагнитное поле, которое, воздействуя на ротор, наводит в нем вращающийся момент. Ротор синхронного двигателя (СД) разгоняется до скорости, близкой к синхронной.
2. по отношению к скорости вращения статора, ротор вращается с некоторым скольжением.
3. в обмотке возбуждения подается постоянный ток. Наличие на роторе синхронного двигателя (СД) полюсов неизменной полярности вызывает, при этом периодические качания ротора относительно его средней скорости. После нескольких затухающих качаний около синхронной скорости, он втягивается в синхрониум с полем статора.
Для синхронного двигателя (СД), пускаемого в ход в асинхронном режиме, характерны три момента:
1. пусковой вращающий момент, развиваемый СД при неподвижном состоянии ротора Мп (S=1);
2. входной вращающий момент Мв (S= 1÷5%);
3. максимальный (опрокидывающий) вращающий момент Мм, соответствующий максимальной мощности СД при синхронной скорости вращения (S=0).
Вращающий момент:

Пусковой момент:

Опрокидывающий момент допускается при скольжении, равном:


Превышение величины Мм при асинхронном пуске недопустимо. Зависимость момента от скольжения М=f(S) при асинхронном пуске СД аналогична зависимости для АД с КР. Также как и для АД с КР, асинхронный пуск СД может производиться (для уменьшения пускового тока) при помощи реактора, либо автотрансформатора. При этом пусковой момент СД уменьшается пропорционально отношению (Uq/Uc)². Пусковой ток сети уменьшается пропорционально (Uq/Uc)². Пусковой ток обмотки статора СД уменьшается пропорционально Uq/Uc.
Частотный пуск.
При этом способе частота, подводимого от сети к обмотке статора СД напряжения, плавно увеличивается от 0 до номинального значения. При этом ротор СД вращается синхронно в течение всего пуска.
Пуск при помощи разгонного двигателя.
При этом способе пуска СД должен иметь двусторонний вылет вала и к одной из сторон подключается разгонный (пусковой) двигатель, разгоняющий ротор СД до скорости, близкой к синхронной, после которой происходит синхронизация ротора СД с сетью.
Рабочие характеристики СД.
К ним относятся зависимости М, I1,?, cos
=f(P2).
Вид рабочих характеристик СД весьма близок к виду соответствующих характеристик АД. Главное отличие в зависимости cos
=f(P2). В СД, в отличие от АД, можно, регулируя ток в его обмотке возбуждения, изменять соотношение активной и реактивной мощности, т.е. регулируя реактивную мощность, соответственно регулируется и cos
. При эксплуатации СД обычно ток в обмотке возбуждения регулируют так, чтобы при Х.Х. cos
=1. При росте нагрузки н валу СД, если ток в обмотке возбуждения не регулируется, cos
считается из-за появлния реактивной составляющей мощности, связанной с потерями. Однако, как правило, величина cos
во всем диапазоне нагрузок выше, чем у аналогичного ему АД.
