

σ-один индекс, соответствует осям x,y,z.
τ-два индекса: первый ось перпендикулярная кплощадке, второй-ось вдоль, которой направлено τ.
Система сил, приложенных к элементу, должна удовлетворять условиям равновесия.
Первые три условия равновесия удовлетворяются тождественно, поскольку на противоположных гранях возникают обратные по знаку силы. Равенство нулю суммы моментов относительно осей соблюдается в том случае, если равны нулю моменты от касательных усилий:
mx=0; τyz dxdydz=τzydxdydz.
Аналогично записываются еще два уравнения.
Из них получаем: τ yz= τ zy; τ zx= τ yz; τ xy= τ yx т.е. на двух взаимно перпендикулярных площадках составляющие касательных напряжений, перпендикулярные к общему ребру, равны и направлены обе либо к ребру, либо от ребра – закон парности касательных напряжений.
На гранях выделенного элемента имеется не девять, а шесть независимых компонентов напряжений.
Напряжения на площадке общего положения.
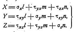
Если заданы шесть компонентов напряженного состояния σx, σ y, σ z, τ yz, τ zx, τ xy в трех взаимно перпендикулярных площадках, то можно определить напряжения в любой площадке, проходящей через заданную точку.
X,Y,Z-проекции на оси x,y,z вектора полного напряжения на площадке общего положения ВСD.
Пусть: площадь ВСД обозначим А, тогда площади: АСД - Аx; АВД - Аy;
АВС - Аz.
Из рисунка: Аx = А l; Аy = А m;
А z = А n, где l,m,n- направляющие косинусы нормали υ. Проектируя все силы на оси x,y,z, подставляя значения Аx, Аy Аz и сокращая получим:

Напряженное состояние в точке определяется шестью компонентами.
Главные оси и главные напряжения.
Равнодействующая составляющих X,Y,Z на наклонной площадке называется полным напряжением и определяется как геометрическая сумма составляющих p
=
. Разложим его на нормальную и касательную составляющие. Тогда σ
= X l+ Y m +Zn. Подставляя сюда (3) получим:
(а)
Из курса аналитической геометрии известно, что путем поворота системы координат уравнение (а) можно преобразовать таким образом, что в нем исчезнут попарные произведения координат или в данном случае направляющих косинусов, или иначе говоря обратятся в нуль коэффициенты при членах попарных произведений.
Это значит, что в каждой исследуемой точке напряженного тела существует такая система осей x,y,z, в которой касательные напряжения τyz, τzx, τxy равны нулю. Такие оси называются главными осями, а нормальные напряжения в них- главными напряжениями. В порядке уменьшения они обозначаются σ1, σ2, σ3.
Определим величины главных напряжений по заданным значениям шести компонентов напряженного состояния в произвольной системе x,y,z.
Пусть наклонная площадка будет главной. Тогда полное напряжение на этой площадке (главное напряжение) σ - будет направлено по нормали υ и соответственно его составляющие определятся:
X=σ l, Y=σ m, Z=σ n. Тогда соотношения (3) примут вид:
или
(а)
Эта система уравнений относительно неизвестных l,m,n определяет ориентацию главной площадки в системе исходных заданных осей x,y,z.
Полученная система является однородной и должна давать ненулевое решение поскольку направляющие косинусы не могут быть все одновременно равны нулю и должно соблюдаться условие: l2+m2+n2=1.
Для того, чтобы система уравнений (а) имела решение отличное от нуля, необходимо, чтобы определитель этой системы был равен нулю:

Раскрыв определитель получим кубическое уравнение:
(a) σ3–σ2I1+σI2-I3=0, где
I1=σx+ σy + σz,
I2=σx σy+ σyσz+ σz σx+ τxy2+ τyz2+ τzx2.
I3=
.
Кубическое уравнение (a) дает три корня, которые и будут главными напряжениями σ1, σ2, σ3. Главные напряжения определяются характером напряженного состояния и не зависят от положения координатных осей.
При повороте осей x, y, z коэффициенты I1,I2,I3 не изменяются, поэтому они называются инвариантами напряженного состояния.
В некоторых случаях инварианты могут принимать нулевые значения. Например, если I3=0, то один из корней равен нулю и в этом случае имеем двухосное или плоское напряженное состояние.
Если I2=I3=0, то уравнение имеет два нулевых корня, а напряженное состояние называется одноосным.
Лекция 13. Экстремальные касательные напряжения.
Пусть заданы главные напряжения, действующие по граням элемента, образованного главными площадками и требуется определить напряжения на площадке наклоненной к главным площадкам.

Пусть площадка параллельна направлению действия главного напряжения σ2.
Рассмотрим условия равновесия треугольной призмы.
Проектируя все силы, действующие на призму на оси, совпадающие с векторами σ и τ преобразуя получим:

Аналогично можно определить напряжения на площадках параллельных осям x и z. Из выражений
и
видно, что нормальные напряжения σ достигают экстремума при 2α = 0; 180˚, т.е. когда площадка параллельна направлениям σ2 и σ3 или перпендикулярна напряжению σ1, т.е. является главной площадкой.
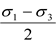
Из второй формулы видно, что τ = τ max при sin2α = 1 или когда α = 45˚, 135˚.
Т.е. τ max = 
Наибольшие касательные напряжения возникают в площадке, равнонаклоненной к площадкам максимального и минимального из главных напряжений. Во всех других площадках касательные напряжения будут иметь меньшие значения т.к. σ1>σ2>σ3.
Плоское напряженное состояние.
Частный случай объемной задачи - плоское напряженное состояние, когда все напряжения действуют в одной плоскости.
По аналогии с объемной задачей запишем определитель системы уравнений для главной площадки: 
Раскрывая получим: σ2 – I1 σ + I2 = 0, где
I1 =σx+ σy,
I2 =σx σy – τxy2, -инварианты напряженного состояния.
I3 = 0.
Решение квадратного уравынения даст главные напряжения:

Деформированное состояние в точке.
Существует математическая аналогия законов распределения напряжений и деформаций в точке.
Для определения главных деформаций ε1, ε2 ,ε3 соответствующих главным напряжениям σ1, σ2, σ3 необходимо составить кубическое уравнение, аналогичное напряженному состоянию:

Где I1, I2, I3 инварианты деформированного состояния:
Для плоской деформации имеем: 
Корни уравнения и будут главными деформациями:
.
Тема 15. Теория предельных напряженных состояний.
Предельные состояния материала.






