Согласно следующей гипотезы критерием предельного состояния является переход от упругого состояния в пластическое, а это связано со сдвигом частиц друг относительно друга. Поэтому эта гипотеза называется гипотезой наибольших касательных напряжений в точке.
Все гипотезы предельных состояний строятся на критериях предельных состояний, которые определяют какое из напряжений в сложном напряженном состоянии определяет переход к предельному состоянию.
Были предложены ряд различных гипотез.
В качестве критерия прочности можно брать величину наибольшего нормального напряжения σ1 или наибольшие линейные деформации
и не учитывать двух других главных напряжений и деформаций. Практическая проверка не подтвердила этой гипотезы.
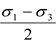
Как известно
τ max = 
Согласно этого критерия, два напряженных состояния равноопасны в том случае, если имеет место равенство наибольших касательных напряжений.
Сравнивая объемное напряженное состояние с линейным, под действием σэкв.
Получим:
=
или σэкв= σ1 - σ3.
Следующим шагом в развитии гипотез прочности явились энергетические гипотезы. Вначале делались попытки принять в качестве критерия предельного состояния внутреннюю потенциальную энергию напряженного тела в точке. Однако, как показывает опыт, при гидростатическом сжатии потенциальная энергия деформации вследствие изменения объема накапливается практически неограниченно, а предельное состояние не достигается. Поэтому было предложено исключить из расчета энергию изменения объема, а в качестве критерия перехода от упругого состояния в пластическое принять только энергию формоизменения:
Из условия равноопасности:






