Метод состоит в следующем:
- составляются уравнения массового обслуживания;
- выбираются начальные условия решения задачи;
- определяются вероятности застать изделие в исправном состоянии в любой момент времени и вероятности безотказной работы;
- определяются в случае необходимости другие количественные характеристики надежности.
Составление уравнений массового обслуживания
Перенумеруем возможные состояния изделия. В простейшем случае таких состояний будет два: изделие исправно («состояние «0») и изделие неисправно (состояние «1»). При m -кратном общем резервировании изделия число возможных состояний равно m+2. Будем говорить, что имеет место i -е состояние, если неисправны i изделий (i=0, 1, 2,...,m+1).
Для составления искомых уравнений должны быть заданы:
-
– интенсивность перехода из (i-1) -го состояния в i -е;
-
– интенсивность обратного перехода из i -го состояния в (i-1) -е.
Для краткости будем в дальнейшем писать
, 
Пусть
– вероятность того, что в момент t имеет место i -е состояние. Сравнивая эти состояния в моменты t и t+Δt, по формуле полных вероятностей получаем
Здесь через
обозначены величины второго порядка малости по сравнению с
.
В пределе при
приходим к системе дифференциальных уравнений:
(3.4.47)
Процесс изменения состояний рассматриваемой системы изделий можно проиллюстрировать с помощью графа, представленного на рис.31. Узлам графа соответствуют состояния системы (0,1,2,...,m+1), а ветвям – возможные переходы из одного состояния в другое.

Р и с. 31. Граф переходов системы при m-кратном общем резервировании
Искомая система дифференциальных уравнений может быть составлена с помощью графа совершенно механически. Для этого необходимо при всех значениях i слева написать производную от вероятности
, а справа просуммировать вероятности состояний, из которых возможен переход в i -е состояние, предварительно умножив их соответственно на интенсивности этих переходов, и отнять вероятность
, умноженную на сумму интенсивностей переходов из i -го состояния во все другие.
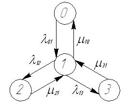
Приведенный на рис. 31 граф есть простой неветвящийся граф. Примером простого ветвящегося графа состояний системы массового обслуживания может служить граф, приведенный на рис. 32, где приняты обозначения:
-
– интенсивность перехода из i -го состояния в состояние j;
-
– интенсивность обратного перехода из j- го состояния в состояние i.

Рис. 32. Простой ветвящийся граф переходов системы
Тогда система дифференциальных уравнений массового обслуживания будет иметь вид:
(3.4.48)
Так как при любом t сумма вероятностей всех возможных состояний системы равна единице, то сумма членов правых частей систем (3.4.47) и (3.4.48) должна равняться нулю.
Система дифференциальных уравнений типа (3.4.47) и (3.4.48) может использоваться при определении следующих показателей:
- вероятности безотказной работы резервированных восстанавливаемых и невосстанавливаемых ремонтируемых систем;
- функции и коэффициента готовности восстанавливаемых резервированных и нерезервированных систем при различных способах обслуживания;
- вероятности нахождения в данный момент времени на восстановлении к элементов;
- среднего времени пребывания системы в любом состоянии.
Выбор начальных условий решения задачи
Надежность восстанавливаемого изделия, как правило, определяется при условии, что в момент включения все элементы исправны. Тогда
(3.4.49)
В общем случае в момент t = 0 изделие может находиться в некотором состоянии j. Тогда
(3.4.50)
Определение вероятности застать изделие в исправном состоянии в любой момент времени
Вероятность застать изделие в исправном состоянии в любой момент времени находится путем решения уравнений типа (3.4.47) и (3.4.48). Ограничимся рассмотрением системы типа (3.4.47).
При заданных начальных условиях эта система имеет единственное решение, причем для любого начального состояния существуют пределы
, (3.4.51)
где
(3.4.52)
Искомая вероятность
находится из выражения
(3.4.53)
где n – последнее исправное состояние изделия (n≤m).
При m=0 (резервирование отсутствует) решение системы (3.4.47) приводит к уже известному выражению (3.4.39), полученному ранее с помощью функции восстановления.
Часто число состояний, в которых изделие неисправно, меньше, чем число состояний, в которых изделие исправно. В этом случае удобно вначале находить вероятность застать изделие в неисправном состоянии
по формуле
, (3.4.54)
а затем – функцию готовности из выражения
(3.4.55)
Если изделие считается отказавшим только при нахождении его в состоянии m+1, то
(3.4.56)
Коэффициент готовности находится из (4.53) как установившееся значение
, т.е
(3.4.57)
Определение вероятности безотказной работы и средней наработки до первого отказа
Вероятность безотказной работы находится путем решения системы дифференциальных уравнений типа (3.4.47) и (3.4.48) при заданных начальных условиях. При этом в системах (3.4.47) и (3.4.48) исключаются в правой части те члены, которые содержат интенсивности переходов из отказовых состояний.
На практике иногда целесообразнее находить вероятность отказа изделия, так как отказовых состояний обычно меньше, чем исправных. Далее по известной вероятности отказов находят вероятность безотказной работы.
Ограничимся рассмотрением системы (3.4.47) при условии, что отказ наступает при выходе из строя всех m+1 устройств. В этом случае в системе (4.47) необходимо положить
, а искомая вероятность безотказной работы есть вероятность того, что рассматриваемый случайный процесс изменений состояний изделия за время t ни разу не окажется в поглощающем состоянии m+1. Обозначим решение этой новой системы уравнений через
. Тогда
(3.4.58)
Если в начальный момент времени система находится в состоянии k=0, то средняя наработка до первого отказа есть среднее время перехода из нулевого состояния в состояние m+1 и определяется выражением
(3.4.59)
В ряде прикладных задач теории надежности вероятность безотказной работы системы довольно точно определяется
по приближенной формуле
(3.4.60)






