Рис.58. Частотная
Рис.41. Виды связей с нагрузкой
Рис. 34. Амплитудная характеристика Рис. 35. Фазовая характеристика
Рис.29. Классификация ЭИ
К основным параметрам ЭИ относятся яркость, контрастность, размеры знакоместа, угол обзора, информационная емкость, напряжение питания и потребляемый ток.
Широкое распространение в технике отображения информации получили электронно-лучевые трубки (ЭЛТ). В настоящее время разработаны их новые типы, работающие в качестве специальных индикаторов-дисплеев или экранных пультов.
Светоизлучающие диоды (СИД) представляют собой класс твёрдотельных приборов, в которых электрическая энергия превращается непосредственно в световую. По своим электрическим характеристикам СИД совместимы с низковольтными транзисторами и ИС, принцип их работы рассмотрен выше.
Промышленностью освоен широкий спектр вакуумных люминесцентных индикаторов (ВЛИ). Достоинство ВЛИ – сопрягаемость с микроэлектроникой, технологическое совмещение на одной плате индикатора со схемами управления, высокая яркость свечения и большая долговечность. С помощью ВЛИ можно отобразить информацию в виде букв, символов, получая практически любые размеры информационного поля. Принцип работы основан на возбуждении зерен люминофора сфокусированным электронным пучком.
|
|
|
Достоинство газоразрядных ЭИ – малое потребление энергии, высокая яркость и надёжность, а также возможность использования в плоскостных конструкциях. Эти ЭИ являются самыми многочисленными и распространёнными среди активных элементов индикации. Перспективными являются газоразрядные индикаторные панели (ГИП), которые начинают конкурировать с ЭЛТ, так как имеют плоскую конструкцию, высокую яркость и стабильность изображения, а схемы управления полностью построены на цифровой логике. Принцип работы основан на свечении инертных газов в электрическом поле.
Достоинством ЭИ с использованием волоконной оптики является высокая светособирательная способность, возможность изменения масштаба передаваемого изображения и увеличения интенсивности светового потока. Для отображения десятичных цифр применяют световоды с цифрами от 0 до 9, которые укладываются знаковыми торцами и склеиваются. Необходимая цифра отображается при включении на соответствующем световоде источника света.
Успехи в лазерной технике создали предпосылки для разработки систем отображения информации с помощью лучей лазера, которые с успехом заменили электронный луч. В ЭИ на лазерах используются следующие методы:
- визуальной лазерной индикации, когда на экран направляется луч лазера;
|
|
|
- индикации с активным экраном, при котором луч лазера применяется для управления световым излучением активного материала экрана;
- лазерно-лучевого светового клапана, когда луч лазера обеспечивает управление оптическими свойствами материала (например, коэффициентом пропускания или отражения), а отдельный источник обычного типа даёт свет для проекции на экран.
Достоинство ЭИ на лазерах – возможность создания экранов любых размеров.
Среди пассивных ЭИ широко известны электромагнитные индикаторы, принцип действия которых основан на модулировании внешнего рассеянного освещения, падающего на информационное табло. Основным элементом такого индикатора является подвижный элемент-шторка, на одной стороне которого нанесено светопоглощающее покрытие, на другой - светоотражающее. При изменении вектора напряжённости магнитного поля на 180°, шторка поворачивается в одну или другую сторону к внешнему освещению. В результате наблюдается либо темное, либо светлое пятно на фоне окружающего (нерабочего) промежутка. Достоинство таких ЭИ - простота конструкции, высокая контрастность. В последнее время широкое распространение находят жидкокристаллические индикаторы (ЖКИ), которые конкурируют во многих случаях с активными светоизлучающими диодами. Принцип их работы заключается в изменении ориентации молекул жидкого кристалла (высокомолекулярное вещество, обладающее как свойствами жидкости: вязкость,текучесть,так и свойствами кристалла - строго определенное расположение молекулярных цепочек) под действием внешнего электрического поля в результате чего изменяется светопоглощающая способность. К перспективной группе пассивных элементов индикации относятся электрохромные ячейки конденсаторного типа. Принцип действия элементов такого типа основан на явлении окрашивания (потемнения) тонких (0,3-1,5) мкм слоев электрохромного вещества вследствие инжекции в него электронов из электродов под влиянием электрического напряжения до 10 В. Электрохромные ячейки обладают эффектом памяти. Быстродействие их составляет десятки миллисекунд. Недостатками являются малая долговечность и температурная нестабильность..
Электрогальванопластические ЭИ представляют собой миниатюрную электрическую герметизированную ванночку, в которой при пропускании тока металл катода осаждается на прозрачном аноде, вследствие чего ячейка темнеет и теряет окраску электролита. Скорость изменения цвета составляет доли секунды, но сама ячейка обладает эффектом устойчивой памяти.
Источники электропитания электронных устройств подразделяются на первичные (аккумуляторы,гальванические элементы, сетевое напряжение) и вторичные, преобразующие выходные параметры первичных источников к виду,необходимому для данных конкретных целей. Однако в любом случае источники электропитания могут быть источниками тока или напряжения. Следует отметить, что один и тот же источник может быть как тем,так и другим в зависимости от конкретной организации нагрузочной цепи.
Часто на практике необходимо реализовать источник напряжения, когда напряжение на нагрузке не зависит в определённых пределах от величины самой нагрузки, например, при согласовании внутреннего сопротивления источника сигнала со входным сопротивлением усилителя. Простейшая электрическая цепь в данном случае будет выглядеть как показано на рис.30.
Рис.30
Электрическая цепь с источником и
нагрузкой
Е –э.д.с. источника сигнала,
Rи –внутреннее сопротивление источника,
Rн–эквивалентное сопротивление нагрузки,
Iн – ток нагрузки,
Uвых – выходное напряжение.
Очевидно, что режим генератора напряжения будет тем строже, чем ближе к 1 коэффициент передачи данной схемы,т.е.
|
|
|

Для той же схемы режим генератора тока (ток не зависит от Rн) можно организовать, если обеспечить схемным путём неравенство Rи» Rн, действительно:

Тема3.Интегральное исполнение элементов электронных устройств (0,25 часа)
Интегральное исполнение элементов электронных схем реализовано для многих пассивных и особенно активных элементов. Приведём основные термины и определения характерные для микроэлектронных изделий:
ИС (ИМС) – микроэлектронное изделие, выполняющее определённую функцию преобразования, обработки сигнала и имеющее высокую плотность упаковки электрически соединённых элементов в едином корпусе.
Твёрдотельная (полупроводниковая) ИС – микроэлектронное изделие,содержащее только интегральные компоненты.
Гибридная ИС - микроэлектронное изделие, содержащее как интегральные так и дискретные элементы.
Кристалл ИС – полупроводниковая пластина, в объёме и на поверхности которой сформированы элементы, межэлементные соединения и контактные площадки.
Подложка ИС – заготовка, предназначенная для размещения элементов гибридных ИС, соединений, контактных площадок.
Контактная площадка – металлизированный участок на подложке или кристалле, служащий для подсоединения выводов, перемычек и т.п.
Корпус ИС – часть конструкции ИС, предназначенная для защиты от внешних воздействий и соединения с внешними цепями, применяются 4 вида корпусов: пластмассовый, металло-стеклянный, металло-керамический, стекло-керамический.
Шаг выводов корпуса – стандартизированное расстояние между выводами корпуса ИС.
Ключ – конструктивная особенность, позволяющая выделить вывод N1.
Плотность упаковки – отношение числа компонентов к объёму ИС.
Степень интеграции – десятичный логарифм числа элементов ИС К=lg N
Серия ИС – совокупность ИС единого технологического исполнения и совместимых между собой по уровням питающих напряжений, напряжений сигналов и другим параметрам.
БИС – большие ИС (К>3).
СБИС – сверхбольшие ИС (К>5).
|
|
|
Классификация ИС:
По технологическому признаку: полупроводниковые (цифры 1,5…),гибридные (цифры 2,4….),прочие (3..).
По функциональности - 20 групп с двухбуквенными обозначениями, например, НД-набор диодов, ГС-генераторы гармонических сигналов, УД-операционные усилители, ЛА-логический элемент И-НЕ и т.д.
Пример обозначения ИС в документации: КР 198 НТ 1А –ИС широкого применения (К), пластмассовый корпус (Р), полупроводниковая (1), номер разработки (98), набор транзисторов (НТ), набор и особенности параметров (1А).
Буквенные обозначения на принципиальных схемах: ДА – аналоговые ИС (работающие с сигналами, меняющимися по закону непрерывной функции), ДД – цифровые (работающие с двоичными логическими сигналами).
Тема 4.Общие сведения об усилителях электрических сигналов( 4часа)
Усилители служат для усиления электрических сигналов по величине. Они являются наиболее универсальными электронными устройствами и в той или иной форме используются практически в любых электронных системах. На рис.31 дано общее функциональное обозначение усилителя.

Рис. 31 Общее функциональное обозначение усилителя
Классификация усилителей электрических сигналов проводится:
· по виду используемых активных элементов - усилители электронные, магнитные, оптико-электронные и др.,
· по виду основного усиленного сигнала - усилители напряжения, тока или мощности,
· по виду связи между каскадами - усилители с непосредственными связями, реостатные или резистивные, резистивно-емкостные (RC -усилители), трансформаторные, резистивно-трансформаторные,
· по способу усиления - усилители непосредственного (прямого) усиления и усилители с преобразованием спектра усиливаемого сигнала (усилители типа М-ДМ, модемы),
· по характеру зависимости между входным и выходным сигналами - усилители линейные и нелинейные (с отсечкой, логарифмические и др.),
· по полосе пропускания: усилители широкополосные или видеоусилители, звуковые, узкополосные, усилители постоянного тока.
В общем виде усилитель рассматривают в виде четырёхполюсника (рис. 32), на вход которого подан сигнал от внешнего источника с ЭДС и с внутренним сопротивлением RU, а к выходу подключена внешняя нагрузка RН.

Рис. 32 Замещение усилителя четырехполюсником
Входными параметрами усилителя являются напряжение UВХ, ток iВХ, сопротивление RВХ и мощность PВХ, а выходными параметрами - напряжение UВЫХ, ток iВЫХ, сопротивление RВЫХ и мощность PВЫХ.
Проходные параметры усилителя - коэффициенты усиления по напряжению
, по току
, по мощности
.
В общем случае параметры усилителя - величины комплексные. При работе усилителя с характерными для измерительных устройств сигналами средних частот (1-3) кГц влияние реактивных элементов пренебрежимо мало, и параметры можно считать действительными. При анализе цепей на нижних и средних частотах используют модули параметров и их зависимости от частоты.
Частотная характеристика усилителя K(f) – это зависимость модуля коэффициента усиления по напряжению от частоты (рис.33). Идеальная характеристика - горизонтальная в диапазоне частот fН...fВ, который называют полосой пропускания усилителя. Реальная характеристика имеет завалы, они вызываются влиянием реактивных элементов, главным образом в цепях межкаскадной связи.

Рис. 33 Частотная характеристика усилителя.
Амплитудная характеристика UВЫХ = f(UВХ) – зависимость между выходным и входным напряжением (рис. 34) Идеальная характеристика 1 линейного усилителя - прямолинейная. Реальная характеристика 2 при больших сигналах нелинейная.

Фазовая характеристика j (f) - зависимость угла сдвига фаз между входным и выходным напряжениями от частоты. На средних частотах j (f0) фазовый сдвиг отсутствует. Влияние реактивных элементов искажает фазовую характеристику (рис. 35).
В усилителях на вход подают исходный сигнал от внешнего источника, а на выходе получают усиленный выходной сигнал. Часто часть этого сигнала через специальную цепь обратной связи подают также на вход усилителя (рис. 36).

Рис. 36. Усилитель с обратной связью
Такую передачу сигнала называют обратной связью (ОС). В результате на входе усилителя с ОС действуют два сигнала: исходный сигнал Uвх и сигнал ОС-Uос. Обратные связи влияют на параметры и характеристики усилителя. Классификация обратных связей проводится:
· по способу образования - принудительные, специально созданные связи, и паразитные, возникающие, например, из-за монтажных емкостей. Полезными являются только принудительные связи;
· по характеру совместного действия двух сигналов на входе усилителя - обратные связи положительные (ПОС) и отрицательные (ООС). При ПОС исходный входной сигнал и сигнал ОС совпадают по знаку или фазе, суммируются и увеличивают результирующий сигнал на выходе усилителя. ПОС применяют во всех генераторах гармонических и импульсных колебаний. В усилителях ПОС используют сравнительно редко. Для усилителей характерна отрицательная обратная связь, при которой сигнал ОС противоположен по знаку или фазе входному сигналу, вычитается из него и уменьшает результирующий сигнал на выходе усилителя;
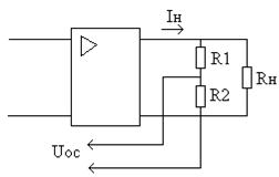
· по способу образования сигнала ОС на выходе усилителя - обратная связь по напряжению и по току. Включение или исключение элементов цепи ОС не должно влиять на выходную цепь (рис.37,38)

Рис.37
ОС по напряжению
R1,R2-резистивный делитель цепи ОС
(R1+R2)»Rн –условие,исключающее влияние
цепи ОС на выходную цепь усилителя.
Рис.38.
ОС по току
Образцовое сопротивление Rобр<<Rн -
условие,исключающее влияние
цепи ОС на выходную цепь усилителя.
· пo способу подачи сигнала ОС на вход усилителя - последовательная и параллельная ОС. При последовательной связи на входе усилителя суммируются напряжения UВХ и UОС, при параллельной связи - токи iВХ и iОС. (рис.39,40)

Рис.39
Последовательная ОС
аа-внешний вход схемы
бб-внутренний вход (вход усилителя)
Uбб = Uвх - Uос

Рис.40
Параллельная ОС
Цепи ОС являются частотно-независимыми, при использовании в них только
активных элементов и частотно-зависимыми - при использовании активных и реактивных элементов. Коэффициент обратной связи
в общем случае - величина комплексная, но в области средних частот и при соответствующем выборе реактивных элементов их влиянием можно пренебречь и считать коэффициент обратной связи чисто активной величиной
. Он показывает, какая часть выходного напряжения подаётся на вход в виде сигнала обратной связи.
ООС влияет на параметры усилителя, в первую очередь, на коэффициент усиления, входное и выходное сопротивления усилителя. В усилителе с последовательной ООС (рис. 39) есть два входа: внешний (а,а), на который подают сигнал UВХ и внутренний (б,б), где действует напряжение UББ. Именно UББ усиливается усилителем без обратной связи.
Величину:

называют внутренним коэффициентом усиления. Это коэффициент усиления усилителя без обратной связи. Величину:

называют коэффициентом усиления усилителя с обратной связью. При ООС UБ=UВХ-UОС или UВХ=UБ+UОС.
По определению:
UВЫХ = KUБ,; UОС = g×UВЫХ или UОС = g×KUб. Тогда UВХ = UБ×+ UБg×K=UБ(1+g×K). Разделим почленно:
, откуда
или
. Следовательно, КОС < K, т.е. ООС уменьшает усиление.
ООС повышает стабильность усилителя. При действии дестабилизирующих факторов - изменении температуры, напряжений питания, параметров элементов - коэффициенты усиления изменяются, что оценивают относительным изменением коэффициентов -
в усилителе без ОС,
в усилителе с ОС, где D K и D KОС - абсолютные изменения коэффициентов усиления при действии дестабилизирующих факторов.
Так как:
, то
откуда: 

или, переходя к конечным приращениям, получим:
Следовательно при ООС относительная нестабильность усилителя уменьшается в
раз.
В усилителе без обратной связи:
При последовательной ООС:
.
Следовательно, последовательная OOС повышает входное сопротивление усилителя в
раз по сравнению со входным сопротивлением усилителя без обратной связи.
При параллельной ООС - аналогичные соотношения:
и
,
т.е. параллельная ООС также уменьшает коэффициент усиления и повышает его стабильность. В усилителе с параллельной ООС входы «а,а» и «б,б» совпадают и

или где
- входной ток усилителя без ОС,
- ток, создаваемый ОС.
Так как:
, а
, то
,
откуда:
и
, здесь// -знак параллельного соединения, RОС – выходное сопротивление цепи ОС.
Следовательно, при параллельной ООС входное сопротивление усилителя уменьшается.
Выходное сопротивление устройств определяют как:
, (Uвых = Uхх),
где UХХ - напряжение холостого хода на выходе в отсутствие нагрузки, IКЗ - ток короткого замыкания выхода. В усилителе при обратной связи по напряжению: UХХ=k×UБ.
Ток короткого замыкания:
,
так как в этом случае вход цепи ОС замкнут накоротко и ОС отсутствует. Тогда:

Следовательно, ООС по напряжению уменьшает выходное сопротивление. При обратной связи по току напряжение холостого хода: UХХ = K×UВХ ,
так как в этом случае выходная цепь разорвана и ОС отсутствует. Ток короткого замыкания равен:
, тогда RВЫХ = RВЫХ(1+k×g).
Следовательно, ООС по току увеличивает выходное сопротивление усилителя. Это свойство используется в так называемых токостабилизирующих двухполюсниках, которые широко применяются в интегральных операционных усилителях.
Отрицательная обратная связь уменьшает частотные искажения и расширяет полосу пропускания усилителя, поскольку на входе усилителя при низких частотах действует сигнал больший, чем на средних частотах, что увеличивает выходной сигнал.
Усилитель, выполненный на одном усилительном элементе, или на нескольких элементах, работающих на общую нагрузку, называют усилительным каскадом. Виды связей каскадов с нагрузкой показаны на рис. 41; такие же связи используют для соединения усилителя с нагрузкой и с источником сигнала.

Нагрузка RН = RK может быть включена непосредственно в коллекторную или эмиттерную цепь транзистора (рис. 41а).
Усилители с подключением нагрузки через разделительный конденсатор (рис. 41.б) называют резистивно-емкостными или RC -усилителями. На рис. 41в показан трансформаторный усилитель, на рис. 41г - резистивно-трансформаторный усилитель. В усилителях постоянного тока цепь нагрузки не должна содержать разделительных конденсаторов (рис. 41д).
Схема простейшего усилительного каскада показана на рис. 42. Здесь транзистор с общим эмиттером - усилительный элемент, RK - нагрузка усилителя, ЕK и ЕБ - источники питания коллекторной и базовой цепей, «е» - источник переменного усиливаемого сигнала, Rи - суммарное внутреннее сопротивление источников «e» и ЕБ..

Рис. 42. Простейший усилительный каскад
Для анализа работы каскада используют характеристики транзистора (рис. 43 и 44).

| Рис.43. Входная характеристика транзистора в усилителе | Рис. 44. Выходные характеристики транзистора в усилителе |
В состоянии покоя входного сигнала нет (е = 0), в усилителе установлены токи и напряжения покоя IЭО, IБО, IОК, UБО, UКО. Они определяют положение рабочей точки А. Напряжения на коллекторе и на базе измеряются относительно эмиттера. Когда подается входной сигнал, на входе усилителя кроме UБО. создается управляющее переменное напряжение UБ и управляющий входной ток iБ , а в коллекторной цепи создаются переменные напряжение UК и ток iк. В состоянии покоя EК=UКО+IОКRК, в общем случае EК=UК+IкRК или UК=EК -IкRК. Это уравнение нагрузочной прямой, которую строят на выходных характеристиках по двум точкам: при полной отсечке коллекторного тока IК =0 и UК=ЕК,, при полном насыщении транзистора UК = 0 и Iкм=Ек/Rк. Нагрузочная прямая связывает между собой токи и напряжения в транзисторе и их изменения. Отрицательное напряжение UБ создает ток +i Б который вызывает ток +iк и напряжение на коллекторе +UK, рабочая точка из А перемещается по нагрузочной прямой в А1. Следовательно, отрицательное напряжение на базе приводит к положительному напряжению на коллекторе. Усилительный каскад инвертирует входной сигнал. При напряжении +UБ, ток Iк уменьшается, а рабочая точка смещается в А2.
Параметрами каскада являются:
- входное сопротивление транзистора
;
- коэффициент усиления по току
;
- коэффициент усиления по напряжению
;
- коэффициент усиления по мощности KР=Ki×KU;
- коэффициент передачи входной цепи
.
Здесь h11Э – параметр схемы замещения транзистора четырехполюсником, b - коэффициент передачи базового тока в коллектор(или h21э).
Все параметры каскада определяются только элементами самого каскада. Влияние внешнего источника сигнала учитывают коэффициентом передачи входной цепи. Приведенные соотношения показывают, что в общем случае для получения больших коэффициентов усиления необходимо применять транзисторы с большим b и малым h11Э, а также выполнять условие RU << h11Э.
Тема 5.Методика расчёта транзисторного усилителя с ОЭ (4часа)
В практических усилительных каскадах используется установка начальных токов и напряжений от одного источника коллекторного питания. Кроме того, для термостабилизации рабочей точки обычно применяют отрицательные обратные связи, чаще всего последовательную ООС по эмиттерному току. Пример такого каскада приведен на рис.45.
Рис.45
Практическая схема усиления на транзисторе с общим эмиттером
Рекомендации по расчёту практической схемы RC-усилительного каскада, приведенного на рис.45. Исходными данными обычно являются:
· евх=ЕвхSin(ωt)-э.д.с. входного сигнала,
· Ru-внутреннее сопротивление источника входного сигнала,
· Кu.ус.-коэффициент усиления по напряжению,
· Rн-сопротивление нагрузки.
Качественно работа подобного каскада рассмотрена выше (рис.43,44)
Начальный режим (режим покоя, евх=0).
· напряжение отрицательной обратной связи по постоянной составляющей эмиттерного тока (Uос=) образуется на суммарном сопротивлении Rэ+Rэо, обычно его величина выбирается равной 20-30% от напряжения коллекторного питания Ек: Uос==Iэо(Rэ+Rэо)=(0,2-0,3)Ек (компромисс между потерей части Ек для амплитуды выходного напряжения и качеством термостабилизации положения рабочей точки на выходных характеристиках транзистора в рабочем диапазоне температур внешней среды).Принцип термостабилизации заключается в следующем: управляющее транзистором напряжение равно: Uбэо=Uбо-Uос=,при возрастании температуры внешней среды увеличивается начальный коллекторный ток Iок за счёт увеличения теплового тока коллектора Iко - это приводит к увеличению начального тока эмиттера Iэо и,следовательно,Uос=, что в свою очередь уменьшает напряжение Uбэо тем самым уменьшается Iок, т.е. рабочая точка остается приблизительно в изначальном положении. При уменьшении температуры процессы протекают с обратным знаком,
· ток Iок, как это следует из выходных характеристик (рис.44), должен быть больше или равен амплитуде тока нагрузки, которую можно определить по исходным данным: Iн.макс.= Кu.ус*Евх/Rн, в этом случае будет обеспечен симметричный размах амплитуды выходного тока, обычно Iок=(1,5-2)Iн.макс.,
· напряжение коллекторного питания должно обеспечивать симметричный размах амплитуды выходного напряжения, т.е. Ек ≥2Uн.макс.+ Uос=,
· далее по найденным Ек и Iок выбирается тип транзистора, а также рассчитываются параметры ряда элементов схемы:
поскольку Iэо =Iок/ α = Iок* (β+1)/ β = Iок*(h21э+1)/ h21э,то Rэ+Rэо= Uос=,/ Iэо; т.к. IокRк=Uко=(Ек- Uос=)/2,то Rк= (Ек- Uос=)/2Iок;Iбо=Iок/ h21э,
для надёжного фиксирования начального напряжения на базе транзистора (Uбо) токи базового делителя напряжений Iд1,Iд2 принимаются равными (2- 4)Iбо, тогда, очевидно,что Rд2=(Uос=+Uбэо)/ Iд2,где Uбэо-прямое падение напряжения на прямосмещённом бозо-эмиттерном переходе (0,5-0,7 В для Si-транзистора) и Rд1= (Ек- Uос=- Uбэо)/ Iд1.
Рабочий режим ( евх≠0).
В этом режиме рассчитываются параметры остальных элементов схемы с использованием физической эквивалентной схемы замещения каскада усиления, которая базируется на таковой для транзистора (рис.22):

Рис.46
Физическая схема замещения каскада усиления
В схеме: Rб= Rд1* Rд2/(Rд1+ Rд2), R′н=Rк*Rн/(Rк+Rн), эти соотношения справедливы, если на частоте рабочего сигнала обеспечиваются условия: Хс1=Хс2≈0 и Хсэ «Rэо. Далее находим:
· входное сопротивление транзистора с обратной связью:
Rвх.тр.ос.=Uвх/iб = rб+rэ(β+1)+Rэ(β+1)=h11э+Rэ(h21э+1),
· входное сопротивление усилителя:Rвх.ус.= Rб// Rвх.тр.ос (//-знак параллельного соединения резисторов),
· коэффициент усиления по напряжению транзистора: Кu.тр.= iк* R′н/(i б* Rвх.тр.ос)
или Кu.тр.= β* R′н/ Rвх.тр.ос= h21э* R′н / Rвх.тр.ос, если Rвх.ус.»Ru, то Кu.тр. ≈Кu.ус,где Кu.ус= iк* R′н/евх, поскольку Uвх=евх* Rвх.ус./(Ru+ Rвх.ус.)=
евх/(1+ Ru/ Rвх.ус.) и Ru/ Rвх.ус.→0. Если приведенное выше неравенство выполняется плохо (менее чем в 10 раз), то необходимо выполнить вторую итерацию расчёта, выбрав транзистор с большим h21э,либо принять решение об установке согласующего каскада между источником входного сигнала и входом усилителя. По заданной величине Кu.ус теперь можно найти величины Rэ и Rэо,
т.е. номиналы всех резисторов схемы на данном этапе расчёта будут определены,
· коэффициент усиления по току транзистора: Кi,тр.= β= h21э,
· коэффициент усиления по току схемы: Кi.ус =iк/iвх = h21э* Rб/(Rб+ Rвх.тр.ос),поскольку iвх=iб+iд= iб*(1+ Rвх.тр.ос/ Rб),если Rб » Rвх.тр.ос, то Кi≈ Кi,тр.,
· усиление по мощности находится как произведение Кu.ус.* Кi.ус,
· выходное сопротивление усилителя находится по теореме об эквивалентном генераторе: R вых.ус.=Uхх/iкз =Rк*iк/iк = Rк.
Далее необходимо рассчитать величины емкостей конденсаторов схемы так, чтобы корректно выполнялись принятые ранее допущения. Рассмотрим эквивалентную схему для конденсатора С1, разделяющего по постоянному току источник входного сигнала и вход усилителя (рис.47)
Рис.47
Эквивалентная схема замещения
входной цепи усилителя.
Ранее было показано, что для простейшей электрической цепи подобного типа (С1-закорочен) коэффициент передачи равен: К = Uвых/Евх = Rвх.ус./ (Rвх.ус.+ Ru), для цепи, показанной на рис.47 этот коэффициент будет комплексной величиной:

Влияние реактивности Хс удобнее оценивать относительным коэффициентом передачи:

где:τ –постоянная времени RС-цепи.
При правильном выборе С1, фазовыми сдвигами на рабочей частоте можно пренебречь и пользоваться модулем относительного коэффициента передачи цепи:

Задавшись Ύ=0,99 (потери сигнала на Хс1 не более 1%) можно найти величину С1, удовлетворяющую допущению Хс1≈0, действительно в этом случае wt = 7, тогда:

Аналогично можно найти величину С2:

Величину ёмкости блокирующего конденсатора Сэо можно найти из очевидного соотношения:Хсэо«Rэо (в 10-100раз).Таким образом, приведенная методика позволяет рассчитать все элементы и режимы схемы усилителя с ОЭ,кроме того, она дает подходы к анализу многих других транзисторных схем. Следует отметить, что окончательная установка заданного коэффициента усиления может быть осуществлена регулировкой резистора Rэ.
Тема 6.Разновидности транзисторных усилителей переменного сигнала (2 часа)
Широко используется разновидность RC -усилителя - эмиттерный повторитель, повторяющий напряжение входного сигнала на выходе, однако усиливающий его по току и мощности (рис.48).

Рис. 48. Эмиттерный повторитель
Активный элемент эмиттерного повторителя выполнен на транзисторе, включенном по схеме с общим коллектором. Здесь сопротивление нагрузки постоянному току включено в эмиттерную цепь, а внешняя нагрузка также подключена к эмиттеру через разделительный конденсатор. Bxoдным электродом является база, выходным - эмиттер транзистора. Особенность эмиттерного повторителя - глубокая отрицательная последовательная обратная связь по эмиттерному току, обуславливающая высокое входное и низкое выходное сопротивления, высокую стабильность параметров.
Начальный режим в эмиттерном повторителе устанавливается по методике рассмотренной выше. При этом для обеспечения симметричного усиления полуволн синусоидального сигнала электрическое смещение выводов транзистора устанавливается
равным: Uбо≈Ек/2; Uкэо≈ Uэо≈ Ек/2. Из физической эквивалентной схемы замещения (рис.49), составленной с теми же допущениями, что и в предыдущем случае следует:

Рис.49
Физическая схема замещения
эмиттерного повторителя
R′э =Rэ//Rн, Rвх.тр.ос.= h11э+ R′э (h21э+1), Rвх.эп=Rб// Rвх.тр.ос.
Кi.тр.=iэ/iб= h21э +1, Кi.эп.=(h21э +1) Rб/(Rб + Rвх.тр.ос),
Кu.эп= uвых./uвх.= uвых/ (uвых+uбэ)<1 (0,95-0,99), Кр= Кi.эп.* Кu.эп,
Rвых.= h11э/(h21э.+1).
Из приведенных соотношений следует, что в формировании отрицательной обратной связи по переменному току эмиттера участвует в отличие от RС-усилителя всё сопротивление нагрузки: Uос.~ = iэ(Rэ//Rн), благодаря чему глубина ООС близка к 100%. Этим объясняется высокое входное сопротивление транзистора и эмиттерного повторителя в целом.
Практическое значение имеет также транзисторная схема токостабилизирующего двухполюсника, обладающего высоким динамическим сопротивлением (по переменному току). Схема применяется в качестве динамической нагрузки, в частности в операционных усилителях (рис.50):

Рис.50
Вариант схемы токостабилизирующего
двухполюсника
Особенности схемы: потенциал традиционного входа (база VТ2) фиксируется на постоянном уровне – прямом напряжении базо-эмиттерного перехода VТ1, включенного диодом; в качестве входной используется коллекторная цепь VТ2. Параметры транзисторов идентичны (обычно интегральное исполнение), что обеспечивает термостабилизацию положения рабочей точки транзистора VТ2. Качественно поясним процессы в схеме с помощью выходных характеристик транзистора VТ2 (рис.51).
Статический (начальный) режим характеризуется известными параметрами Iок, Uко, при этом статическое сопротивление Rст=Uко/Iок относительно невелико. Входной сигнал в данном случае представляет собой знакопеременные приращения напряжения Uко. Поскольку выходные характеристики транзистора в линейной области почти плоские, то большим приращениям uвх (до десятков вольт) соответствуют малые приращения коллекторного тока, т.е. динамическое сопротивление весьма велико: R дин.= 
/
Rст. Резистор Rэ, образующий ООС по эмиттерному току ещё более увеличивает R дин. Таким образом, схема оказывает токостабилизирующее действие (формирует режим генератора тока).

Рис.51
Принцип работы токостабилизирующего
двухполюсника
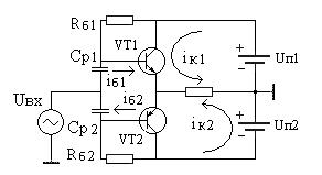
Для мощных выходных каскадов наиболее часто используются двухтактные схемы, в которых транзисторы работают с отсечкой коллекторного тока (положение рабочей точки на выходных характеристиках транзистора соответствует классу В или АВ). Положительная полуволна входного сигнала усиливается одной половиной схемы (1-й такт), отрицательная полуволна – другой половиной (2-й такт). Благодаря этому достигается высокий КПД усилителя. Для связи с нагрузкой и источником входного сигнала применяются трансформаторные и бестрансформаторные схемы.
Трансформаторными называют усилители, в которых соединение усилителя и нагрузки, усилителя и источника входного сигнала производится при помощи трансформатора. Достоинство трансформаторных усилителей - удобство и простота согласования выходного сопротивления усилителя и сопротивления нагрузки для передачи в нагрузку заданной мощности. Недостатки трансформаторных усилителей - сравнительно большие габариты и вес, меньшая надёжность, сравнительно узкая полоса пропускания, большая стоимость. Простейшая трансформаторная схема приведена на рис.52.

Рис.52
Двухтактный трансформаторный
каскад усиления мощности
Положительная полуволна входного сигнала усиливается верхним «плечом» каскада (VТ1), отрицательная –нижним (VТ2) с последующей трансформацией (Т2) усиленных полуволн в нагрузку с восстановлением в нагрузке синусоидальной формы сигнала. Следует отметить, что после приведения известными методами сопротивления нагрузки из вторичной цепи выходного трансформатора (Т2) в первичную (R'н), замены трансформатора эквивалентной индуктивностью (Lэ) и обеспечении условия 2πfраб Lэ» R'н,физическая эквивалентная схема замещения каскада для одного плеча практически не отличается от таковой для RС-усилителя (рис.53).
![]() |
Рис.53
Схема замещения каскада по
переменному току.
Таким образом, может быть использована приведенная выше методика расчёта параметров схемы.
Бестрансформаторные усилители мощности имеют ряд преимуществ, а именно, отсутствие габаритных трансформаторов, гораздо меньшие частотные и нелинейные искажения, возможность интегрального исполнения. К недостаткам можно отнести необходимость двух источников питания, однако с появлением миниатюрных интегральных стабилизаторов напряжения серии «КР140ЕН» указанный недостаток не является существенным. В большинстве случаев бестрансформаторные усилители реализуются на симметричных транзисторах разного типа проводимости, по схемам с общим эмиттером или общим коллектором. В качестве примера рассмотрим схему и принцип работы двухтактного эмиттерного повторителя, показанного на рис. 54.

Рис.54 Двухтактный усилитель мощности
При отсутствии входного сигнала ток в нагрузке RН практически отсутствует, т.к. протекающие в транзисторах VТ1,VТ2 тепловые коллекторные токи IКО1 и IКО2, начальные токи смещения баз транзисторов малы, примерно одинаковы в силу симметрии параметров транзисторов и направлены противоположно в цепи нагрузки. При подаче переменного (чаще всего синусоидального) входного сигнала в зависимости от его фазы открывается тот или другой транзистор, создавая разнонаправленные токи в сопротивлении нагрузки. Конденсаторы СР разделяет источник входного сигнала UВХ с входом усилителя по постоянному току. Резисторы Rб служат для смещения баз транзисторов в начало линейной области входных характеристик транзисторов. Методика расчета одного плеча бестрансформаторного усилителя, как и его схема замещения не отличаются от таковых для однотактного эмиттерного повторителя.
В самостоятельную группу можно выделить усилители на полевых транзисторах. Основной их положительной особенностью является высокое входное и низкое выходное сопротивления, что позволяет использовать их в качестве согласующих каскадов при работе с источниками входных сигналов, имеющих большое внутреннее сопротивление. При работе в усилительном режиме, используется область пологих выходных характеристик. В качестве примера на рис.55 приведены характеристики полевого транзистора с управляющим p-n переходом и каналом n –типа.

Рис.55 Выходные (а) и передаточная (б) характеристики
полевого транзистора с p-n переходом.
В области I (крутая область) ток стока IС почти линейно зависит от напряжения «сток-исток» – UСИ и транзистор может быть использован, как сопротивление, регулируемое напряженим между затвором и истоком – UЗИ. Область пологих характеристик II напоминает выходные характеристики биполярного транзистора, однако при этом параметром семейства характеристик является не ток базы, а напряжение между затвором и истоком. Область III – запрещенный режим, связанный с возможным разрушением структуры транзистора.
В качестве примера рассмотрим схему каскада с общим истоком на полевом транзисторе с p-n переходом и каналом n – типа (аналог схемы с общим эмиттером), показанную на рис. 56.

Рис.56 Принципиальная схема каскада с общим истоком
Для обеспечения режима работы каскада в классе А начальное смещение затвора транзистора задается по цепи: RЗАТ - затвор – RСТ.
Истоковый резистор RИСТ - аналог эмиттерного резистора. Стоковый резистор RСТ – аналог коллекторного. Изменение тока через этот резистор приводит к изменению напряжения на нем, во много раз большему изменения напряжения входного сигнала.
Часто возникает необходимость в соединении нескольких каскадов для реализации заданного коэффициента усиления. В общем случае многокаскадный усилитель можно представить в виде структурной схемы показанной на рис.57.

Рис.57. Структурная схема многокаскадного усилителя.
Входной каскад обеспечивает согласование с выходным сопротивлением источника входного сигнала, далее обеспечивается необходимое усиление по напряжению и мощности. Местные g1 и общие g2 цепи обратной связи предназначены для корректировки параметров усилителя, предотвращения самовозбуждения, а также для стабилизации характеристик. Результирующие коэффициенты усиления или частотных искажений находят как произведение соответствующих коэффициентов отдельных каскадов.
Рассмотренные выше каскады усиления, а также многокаскадные усилители различного назначения выполняются как на дискретных элементах, так и во многих случаях в виде интегральных линейных микросхем. Обычно интегральный усилитель представляет собой законченный функциональный узел, интегрированный в одном корпусе, чаще всего в виде гибридной (сочетающей дискретные и полупроводниковые элементы) микросхемы с оговоренными в технических условиях параметрами. При использовании интегральных усилителей существенно сокращается объем расчетов, при этом основное внимание уделяется согласованию отдельных микросхем по уровням сигналов, организации местных и общих цепей обратных связей.
Рассмотренные выше усилители предназначены для работы с монотонными или амплитудно-модулированными синусоидальными информационными сигналами, информационными параметрами которых могут служить напряжение, частота или фаза.
Тема7.Общие сведения об усилителях постоянного тока (2часа).
К усилителям постоянного тока (УПТ) относятся устройства, у которых коэффициент усиления на нижних частотах вплоть до нулевой отметки остается таким же как и на средних частотах - fГРАН (рис.58).

