При определении сил в зацеплении используют методы теоретической механики, а силами трения пренебрегают ввиду их малости.


Нормальная сила Fn направлена по линии зацепления (как по общей нормали к рабочим поверхностям зубьев).
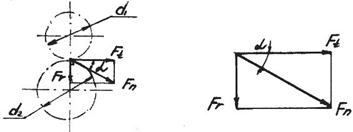
Прямозубая цилиндрическая передача (рис. 21.6).
Силу F nраскладывают на окружную Ft и радиальную Fr составляющие:

– изгибающая зуб,
–сжимающая зуб,
(21.17)
– угол главного профиля,
где
–угол зацепления; Т – вращающий момент на колесе (шестерне).
Векторы радиальных сил у колес с внешним зацеплением направлены к центру, а у колес с внутренним зацеплением – от центра зубчатого колеса.
Косозубая и шевронная цилиндрические передачи.
Силу в зацеплении передачи раскладывают на окружную Ft, осевую F a и радиальную F r составляющие (рис. 21.7 а):

(21.18)
где
–угол зацепления косозубой передачи внормальном сечении; β – угол наклона линии зуба.
Осевая сила Fa, стремящаяся сдвинуть колесо вдоль оси вала, дополнительно нагружающая опоры валов, детали корпусов, является недостатком косозубых передач.
|
|
|
Направление окружной и радиальной сил такое же, как и в прямозубой передаче. Осевая сила параллельна оси колеса, а направление вектора зависит от направления вращения колеса и направления линии зуба (рис.21.8)
Конические зубчатые передачи.

Рис. 21.7. Усилия в зацеплениях косозубых (а) и конических (6) колес
В зацеплении прямозубой конической передачи (см. рис. 21.7 б) нормальная сила Fn также раскладывается на три составляющие, рассчитываемые по среднему делительному диаметру d:
(21.19)
Направления сил на ведущем и ведомом колесах противоположны, и имеют место равенства
.

Рис. 21.8. Направления сил на ведущем колесе косозубой передачи