КОНТРОЛЬНЫЕ ВОПРОСЫ 10
1. Возможно ли получение единственного оптимального решения в многокритериальных задачах и почему?
2. Какие подходы обычно используют для решения многокритериальных задач?
3. Приведите общий вид двухкритериальной задачи.
4. Что такое множество достижимости?
5. Сформулируйте правило выделения лучших точек.
6. Что означает решения, оптимальные по Парето?
7. Приведите алгоритм нахождения оптимальных по Парето решений.
|
;
;
;
,
.
Построим линейную свертку критериев:
.
Функция Лагранжа запишется в виде
.
Распишем функцию Лагранжа подробнее:
.
Чтобы найти минимум функции Лагранжа, нужно взять от нее производные по искомым параметрам r, h, l и приравнять их к нулю.
(6.14)
Получили систему трех алгебраических уравнений, решив которую найдем зависимость r, h, l от a. Задавая a от 0 до 1, получим множество решений, оптимальных по Парето. Поскольку аналитически решить систему (6.14) довольно сложно, можно воспользоваться любым численным методом, задавая предварительно значения a с любым приемлемым шагом.
|
|
|
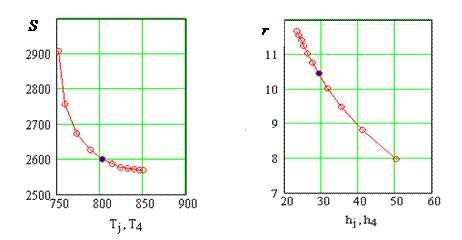
Задача была решена в пакете MathCad для V = 100 литров с шагом по a = 0,1. На рис. 6.4 показано полученное множество паретооптимальных решений.
ЛПР выбрал из этого множества точку при a = 0,4, при котором S = 2601; T = 802;
r = 10,44; h = 29,2. Эта точка устроила его потому, что при дальнейшем увеличении a
S уменьшается уже незначительно а Т имеет среднее – приемлемое значение.
|
|




Рис. 6.4






