Zj Zj
0.5 1.0 1.5 2.0
6 4 2 0
0.5 1.0 1.5 2.0
0.5 1.0 1.5 2.0
Oo
ЛД)
B b b
A a
Jb a
A b
Таблица дифференциалов
| α +1 |
xα dx
1 2 xdx = dx, 2
dx = 2 d√x,
x
ex dx = dex
dxα +1, α= - 1 ,
dx x x 2 dx
dx
= x 2
ax dx
d ln x
| d |
dx 3
x
1 x da, ln a
| sin x dx dx = cos2 x dx |
| x |
| ^ |
= -d cos x, d tg x,
= d arcsin x,
cos xdx = d sin x,
dx
| sin2 x |
| dx |
-d ctg x,
| x 2 +1 |
d arctg x.
Таблицу дифференциалов необходимо знать наизусть.
7.7 Замена переменной
Теорема 45 (формула замены неременной). Если известно, что
j f(z)dz = F(z) + C,
то для любой дифференцируемой функции z

Иными словами, чтобы посчитать интеграл J f[z(x) dz(x), надо сначала посчитать интеграл J f(z) dz, а затем в ответ F(z) + C вместо z вписать z(x).
Доказательство. Действительно, неносредственно проверяется, что производная функции x i-^ F(z (x)) совпадает с функцией x i-^ f(z(x))z'(x)
П
Задача 44. Вычислите интеграл
----- dx.
x
Решение. Заметим, что в этом интеграле присутствует выражение —, имеющееся в таблице дифференциалов. Поэтому разумно нонробовать применить теорему 45:
| / |
ln x----- / dx i
----- dx = I ln^ x —= lln^xd(lnx) =
x x
|
|
|
(выполняем замену переменной)
6 z 7
| z = ln x > |
z dz = + C 7
(возвращаемся к исходной переменной)
ln x C. ^
Подчеркнем, что, выполняя замену переменной, необходимо все вхождения старой неременной заменить на новую неременную.
Прием из первой строки, состоящий в замене -^ на d(lnx) в соответствии с таблицей дифференциалов, называют подведением под знак дифференциала.
Задача 45. Вычислите интеграл
f 5^
dx.
x
Решение. Заметим, что в этом интеграле присутствует множитель -^, который вместе с dx можно интерпретировать как дифференциал лx (с точностью до множителя), и в то же время оставшееся выражение является функцией л/x. Поэтому разумно нонробовать применить теорему 45:
| x |
| 5 |
√x dx √x √
5 √x = 5 2 d (x
5 √xd (√x) =
(делаем замену переменной)
= Sw = л/ x } =2 [ 5 '^dw = 25 + C =
(возвращаемся к исходной неременной)
5^ 2 г
= 2—+ C = -5^ + C. П
ln5 ln5
7.8 Формула интегрирования но частям
Теорема 46 (формула интегрирования но частям). Пусть u иv —дифференцируемые функции. Тогда
|
Доказательство. Достаточно взять интеграл от обеих частей равенства
| u'v + uv'. П |
(uv)
Наиболее часто формула интегрирования но частям применяется к интегралам следующих двух типов.
Первым типом неопределенных интегралов, берущихся по частям, называют интегралы вида
/ P(x) cos(kx + b) dx, / P(x) sin(kx + b) dx,
где P — многочлен.^^ Правило: применяя формулу интегрирования но частям к интегралам первого типа, надо через u обозначить P(x), а через dv — все остальное.
Вторым типом неопределенных интегралов, берущихся но частям, называют интегралы вида
/ P(x) arcs in (kx + b) dx, / P(x) arctg(kx + b) dx,
^^Напомним, что многочленом называют функцию вида P (х) = a о + a-^х + • • • + a^х^'
|
|
|
где P — многочлен. Правило: применяя формулу интегрирования но частям к интегралам второго тина, надо через u обозначить ln(kx + b), а через dv — P(x) dx.
К интегралам второго тина также относят интегралы вида
x ln n x dx.
Задача 46. Вычислите интеграл
5 xe 2 x- 3 dx
Решение. Этот интеграл относится к первому тину интегралов, берущихся но частям. Действуем в соответствии с правилом для интегралов первого тина:
5 xe 2 x- 3 dx
< udv>
u = 5 x,
du = u' dx = 5dx
|
| 1 2 x 3 |
dv
2 x 3
dx,
J e^x ^ dx = ie
<uv — vdu> = 5x-
2 x- 3
2 x- 3
5 dx
| 51 22 |
| 2 x 3 |
| xe |
| 2 4 Отметим еще одно правило: dunv всегда вычисляются но формулам |
5 x 5
2 x- 3 2 x- 3
ee
dx
5 x
2 x- 3
2 x- 3
e + C
2 x 3
+ C.
|
du = u' dx,
Задача 47. Вычислите интеграл
| 2 x |
x 2 ex dx.
Решение. Этот интеграл относится к первому тину интегралов, берущихся по частям. Действуем в соответствии с правилом для интегралов первого тина:
^ udv>
= (u = x^, dv = ex dx
\ du = 2x dx, v = J еx dx = e
= {uv-Jvdu =
(u = x, dv = ex dx du = dx, v = J e x dx = e x
< = x^ex - 2 iuv - vduj =>
= x^ex -2{xex - exdx
= x^ex - 2xex + 2ex + C. П Задача 48. Вычислите интеграл
Решение. Это интеграл второго тина.
l dx = Г u = ln x, dv = dx
du = dx, v = J dx = x
- dx f
x — = x ln x - / dx
= xlnx - x + C. П
Задача 49. Вычислите интеграл
/ xln^xdx.
Решение. Этот интеграл похож на второй тип интегралов, берущихся но частям. Попробуем применить стандартное правило:
u = ln x, dv = xdx 1
du = 2lnx^, v = Jxdx = Y
7.9 Как выбрать метод для вычисления интеграла
Полного алгоритма вычисления интегралов не существует. Тем не менее, некоторые общие рекомендации возможны.
0. Универсальным правилом вычисления интеграла является только следующее: надо последовательно попробовать применить все 4 известные метода (таблица интегралов, интегралы с линейным аргументом, замена переменной, формула интегрирования по частям).
1. Чтобы узнать, применима ли таблица интегралов, надо проверить, не совпадает ли интеграл дословно с одним из интегралов из таблицы.
2. Чтобы проверить, можно ли применить формулу интегрирования но частям, надо задать себе вопрос: пе относится ли данный интеграл к первому (содержит ex) или второму (содержит ln x) типу интегралов, берущихся по частям.
3. Чтобы проверить, применимо ли правило вычисления интегралов с линейным аргументом, надо посмотреть, нет ли внутри интеграла функций с линейным аргументом.
4. Чтобы проверить, можно ли применить правило замены неременной, надо задать себе вопрос: нет ли в интеграле сомножителей, которые можно свернуть в дифференциал, используя таблицу дифференциалов.
7.10 Понятие о неберущихся интегралах
Напомним, что функции, которые можно задать аналитическим выражением, называют элементарными. В то же время произвольная функция — это правило, нозволяюгцее по известному значению одной переменной вычислять значение другой. Далеко не все функции задаются аналитическими выражениями, т. е. являются элементарными.
Один из источников неэлементарных функций — операция взятия первообразной. Например, интегралы
f _ x 2 / о f dx f sinx
e dx, —, dx
lnx x
сугцествуют, но не выражаются через элементарные функции. Такие интегралы называют неберущимися (в классе элементарных функций). Этот термин означает, что первообразную функции нельзя задать аналитическим выражением, а не то, что первообразная не сугцествует.
Глава 8
Определенный интеграл
8.1 Определенный интеграл
как предел интегральных сумм
Пусть функция f определена на отрезке [ a, b]. Разобьем отрезок [ a, b] на части точками
τ: a = x 0 < x1 < · · · < xn-1 < xn = b.
Всякий такой набор точек называют разбиением отрезка. Здесь τ — сокращенное имя разбиения.
y=f(x)
a= А 0
Ж
x
^ 3=b
Рис. 1: Разбиение отрезка
Отрезки [ xi- 1, xi]j на которые разрезается этими точками отрезок [ a, b] называют отрезками разбиения. Длины ∆xi = xi - xi-1 называют дли-
|
|
|
нами отрезков разбиения. А наибольшее из чисел ∆xi — диа.метро.м разбиения. Диаметр разбиения τ обозначают символом \τ\:
\τ\ = max ∆xi.
i =1 ,...,n
| a=л0 | i1 | ^ | л3=b | |
| 1 4 | 2 4 |
Рис. 2: Точки ξг
В каждом из отрезков разбиения выберем но точке ξi G [ xi _1 ,xi ].
Число

называют интегральной сум.мой. Подчеркнем, что оно зависит от функции f, разбиения τ и выбора точек ξi.
Определенным, интегралом, от функции f но отрезку [ a, b] называют предел интегральных сумм, когда диаметр разбиения стремится к нулю:
| b / f(x) dx = a | n i =1 |
Если этот предел существует (и конечен), функцию f называют инше-грируемой, а если не существует, — то неинтегрируемой.
Теорема 47. Если функция f иеирерывиа, то она интегрируема.
По определению считают, что
I f(x)dx = — / f(x)dx,
a
/ f(x) dx = 0 .
a
8.2 Геометрический смысл определенного интеграла
Гео.метрический смысл интегральной суммы заключается в том, что интегральная сумма представляет собой сумму площадей заштрихованных прямоугольников и тем самым приближает площадь фигуры, за-ключеппой между графиком функции f и осью X (в предположении, что f(x) > 0).

Рис. 3: Геометрический смысл интегральной суммы ^ n ^^ f (ξi)∆xi
При уменьшении диаметра разбиения объединение заштрихованных прямоугольников превращается в множество между графиком функции f и осью X. Отсюда
Геомет,рический смысл определенного инт,еграла: интеграл a f(x) dx совпадает с площадью между графиком функции f и осью X (при условии, что f(x) > 0).
|
Рис. 4: Геометрический смысл определенного интеграла
8.3 Производная интеграла с переменным верхним пределом
Теорема 48. Пусть функция f непрерывна на отрезке [ a, b ]. Тогда функция
F(x) = x f(t) dt
a
является первообразной функции f.
8.4 Формула Ньютона-Лейбница
Теорема 49 (формула Ньютона-Лейбница). Пусть функция F является первообразной непрерывной функции f. Тоща
b
f (x) dx = F (b) - F (a).
a
Теорема 49 является основным способом вычисления определенных интегралов. Ее можно рассматривать как второе определение онреде-ленного интеграла.
|
|
|
Принято следуюгцее сокращение:
F(b) - F(a) = F(x) 94
F (x)
Символ называют подстановкой. С помощью подстановки формулу Ньютон | -Лейбница записывают так:
| b f(x) dx = a | F (x) | b a |
Задача 50. Вычислите определенный интеграл
x 2 dx.
Решение. Сначала обращаемся с интегралом как с неопределенным. Замечаем, что интеграл табличный. Вычисляем интеграл в соответствии с таблицей интегралов, только вместо константы пишем подстановку:
2 x
x dx =
2 3
3 33
2 3 - 3 =63.
Задача 51. Вычислите определенные интегралы
ex dx,
dx
x
Решение.
ex dx = ex
e -e
dx
x
ln x
ln e ln1=1 0=1.
8.5 Свойства определенного интеграла
Теорема 50. Определенный интеграл обладает следующими свойствами:
b b
(a) / αf(x) dx = α J f(x) dx,
(b) / {f(x) ± g(x)) dx = J f(x) dx ± J g(x) dx,
b c b
(с) / f(x) dx = J f(x) dx + J f(x) dx.
a a c
Доказательство. Доказательства всех свойств основаны на использовании формулы Ньютона-Лейбница. Например, свойство (c) доказывается так:
F(b) - F(a) = (F (c) - F(a)) + {F(b) - F(c)).
|
Рис. 5: Геометрический смысл равенства a f(x) dx = a f(x) dx + /^ f(x) dx
8.6 Замена переменной в определенном интеграле
Теорема 51. Пусть f — непрерывная функция, а z — непрерывно дифференцируемая функция}' Тогда
| Г α | f[z(x)) dz(x) | a | f (z) dz. |
В предноложенни, что
a = z(α), b = z (β).
(8л;
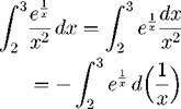
Задача 52. Вычислите определенный интеграл
3 ex 1
x 2
dx.
^^Функцию называют непрерывно дифференцируемой, если ее ироизводиая существует и иенре-рывиа.
Решение. Начинаем со стандартной рекомендации: сначала можно обращаться с интегралом как с неопределенным, но при этом не терять пределы интегрирования. В соответствии с ней начинаем с обращения к таблице дифференциалов.
|
|
теперь выполняем замену переменной:
| 1 / 3 1 / 2 |
1 / 3
| ez |
1 / 3
1 z
z = x = - 1 / 2 e dz =
1 / 3 1 / 2 1 / 2 1 / 3
(e e)= e e.
Правило: При замене неременных в онределенном интеграле надо не забывать менять пределы иитегрироваиия. После этого к старой переменной возвращаться уже не надо.
Удобный для запоминания способ рассуждения такой. В старом ин
теграле (т. е. до замены неременной) интегрирование велось но x, при
этом x менялся от 2 до 3. Новая переменная z связана со старой равен
ством z = 1. Поэтому, когда x равняется 2, (то в силу равенства z = 1)
z равняется 1 / 2, а когда x равняется 3, z равняется 1 / 3. П
Задача 53. Вычислите определенный интеграл
dx.
0 \/4 + x
Решение. Начинаем со стандартной рекомендации: сначала можно обращаться с определенным интегралом как с неопределенным, но при этом не забывать переписывать пределы интегрирования.
Заметим, что аргументом корня является x 3 и в то же время присутствует множитель x 2, который (с точностью до постоянного множителя) вместе с dx можно интерпретировать как дифференциал x 3. Поэтому разумно попробовать применить замену неременной:
| 0 \/ |
x
| dx |
| d (x 3 |
0 √ 4+ x
0 √ 4 + x 3 3
30
\/4+
x 3
d (x 3
| теперь выполняем замену переменной: |
| 3 1 2 t = x = 3 0 |
| dt |
| 1 3 0 |
√ 4 + t
dt
л/ 4 + t
Обсудим замену пределов интегрирования. В старом интеграле (т. е. до замены переменной) интегрирование велось но ж, при этом х менялось от О до 2. Новая неременная t связана со старой равенством t = х 3.
| x |
| t равняется |
Значит, когда х равняется О, (то в силу равенства t
03, а когда х равняется 2, t равняется 23 = 8. Поэтому в качестве новых пределов иитегрироваиия записываем 0 и 8.
На этом решение примера пе закончилось. Далее замечаем, что получился табличный интеграл с линейным аргументом. Поэтому
| 1 3 |
| x |
2 2 8
| dt |
| 0 √ |
| √ |
| 2 √ |
dx
8.7 Формула интегрирования но частям для определенного интеграла
Теорема 52 (формула интегрирования но частям). Пусть и иу —непрерывно дифференцируемые функции. Тогда

Задача 54. Найдите интеграл методом интегрирования по частям:
| dx. |
Г^ ln x Ji \[x
Решение. Этот интеграл относится ко второму типу интегралов, берущихся по частям. Поэтому действуем в соответствии с правилом для второго типа интегралов:
| dx |
| x
dx
|
| 2 √ |
| ln x |
| dx |
u = ln x, dv
| dx |
| x |
du = dx, v =
\uv — v du
2л/ x
/ 2^/x —
l x
| dx |
| 22 x |
2 √x ln x
2 √x ln x
- 2
теперь выполняем подстановки:
| 4л/ |
2 √x ln x
| √√ (4 4 - 4 1) |
√√ 2 4ln4 - 2 1ln1
4ln4 - 0 - (8 - 4)
8ln2 4.
8.8 Понятие о несобственных интегралах
Несобственными называют интегралы вида
+оо
| oo +00 |
/ f(x) dx, I f(x)dx, f(x) dx.
Поскольку интегральные суммы для них не имеют смысла, несобственные интегралы определяют с помощью равенств
/ f(x)dx= lim / f(x)dx,
| / |
b b
f(x)dx= lim / f(x)dx,
- oo a
+oo c +00
/ f(x)dx= / f(x)dx+ I f(x)dx,
где c G M произвольно.
Если эти пределы существуют, то говорят, что интегралы сходятся. Если пределы пе существуют, то говорят, что интегралы расходятся. В частности, интеграл считают расходящимся, если предел равен бесконечности.
|
Рис. 6: a °° f(x) dx = lim a f(x) dx
Теорема 53. Интеграл
dx
| α > 1 |
xα
СХОДИТСЯ тогда и только тогда, когда Задача 55. Какие из интегралов
| ∞ dx x 2 |
+ ∞ dx 1 x
dx
x
сходятся
Следующая теорема играет иринципиальную роль в теории вероятностей.
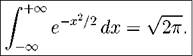
Теорема 54 (интеграл Пуассона). Справедливо равенство
|
Задача 56. Вычислите интеграл
∞ dx. x 2
Решение. Действуем согласно определению несобственного интеграла:
| ∞dx |
| lim ^ = lim — x b^+xJ1 x 2 b ^+оо\ x lim (-------) = lim (1 — - b ^+оо b 1 b ^+оо b |
d
1.
Задача 57. Вычислите интеграл
+ ∞ dx. 1 x
Решение. Действуем согласно определению:
dx b dx
| lim ln x b→ + ∞ |
= lim x b→ + ∞ 1 x
| lim (ln b — ln 1) |
lim (ln b — 0) = оо.
Таким образом, в ответ записываем, что этот интеграл расходится. П
Глава 9
Геометрические прилож:ения определенного интеграла
9.1 Вычисление площадей плоских фигур
Правило 1. Если f{x) > О, то площадь S между графиком функции f и осью X можно вычислить по формуле

| Рис. 1: Правило 1 |
Это свойство представляет собой геометрический смысл определенного интеграла.

Задача 58. Найти площадь фигуры, ограниченной линиями x 0, y = 4.
y, x
|
Рис. 2: Задача 58
Решение. Искомая площадь S криволинейного треугольника OAB равна разности двух площадей: S = SOabc ~ SObc- Решая систему y = 4, x = л/ y, получаем, что точка B пересечения прямой y = 4 и кривой x = у/ y имеет координаты (2; 4).
| x 3 3 |
| 2 3. Окончательно S |
Тогда SOABC = 8, SObc = 0 x2 dx
16 3 •
Правило 2. Если f(x) < 0, то площадь S между графиком функции f и осью X можно вычислить по формуле

y=-f(x)
y=f(x)
Рис. 3: Обоснование правила 2
Отражая кривую y = f(x) относительно оси X, получаем кривую y = —f(x). Площадь иод этой кривой можно вычислить с помощью правила 1. Поэтому
S
f (x)) dx
или
S
f (x) dx.
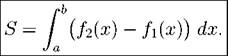
Правило 3. Пусть f1(x) < f 2(x). Тогда площадь множества, заключенного между кривыми y = f 2(x) а y = f 1(x), вычисляется по формуле
|
|
|
Рис. 4: Обоснование правила 3
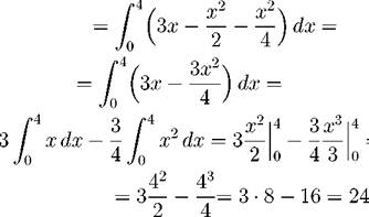
Задача 59. Найти площадь фигуры, ограпичеппой линиями y
3x — ^.
y

Рис. 5: Задача 59
| 3 x |
Решение. Чтобы найти пределы интегрирования, найдем точки пере-
| . Получаем |
сечения парабол. Для этого решим уравнение ^ корпи xi = 0, x 2 = 4. Далее вычисляем площадь:
|
| (f 2(x) - fi(x)) dx |
S
16 = 8.
Правило 4. Если функция y = f(x) на отрезке [ a, b] меняет знак, то чтобы посчитать нлогцадь множества, заключенного между ее графиком и осью X, отрезок [ a, b] надо разбить па части так, чтобы па каждой из них функция y = f(x) была знакоиостоянна, а затем к каждой из частей применять правило 1 или 2.
|
Рис. 6: Правило 4
Правило 5. Если верхняя или нижняя граница множества состоит из графиков нескольких функций, то чтобы посчитать его илогцадь, множество надо разрезать вертикальными линиями на несколько частей с тем, чтобы к каждой из них можно было применить одно из предыдущих правил.
Задача 60. Найти площадь фигуры, ограниченпой линиями y = x2 2-x,y = 0.
y
Решение. Точки пересечения очевидны. Разрезаем множество па две части вертикальной прямой x = 1. Вычисляем площади отдельных ча-
| / | ||||
| / | ||||
| 4 3 | / | |||
| Ч 1 | ^^ | |||
| -2 | -1 | 24 |
Рис. 7: Задача 60: построение кривых
стеи:
5 1
5 2 S
| x 2 dx |
x
x
x) dx = 2 x- 2
11 5 S 1 + S 2 = + = 32 6
9.2 Приближ:енное вычисление определенных интегралов
Пусть на отрезке [ a, b ] задана непрерывная функция y = f(x). Предположим донолнительно, что f(x) ≥ 0 на [ a, b]. Тогда a f(x) dx численно равен площади под кривой y = f(x) на отрезке [ a, b ]. Мы получим приближенное значение искомого интеграла, если вместо площади под кривой возьмем площадь под ломаной, расположенной достаточно близко к исходной кривой.
Для построения этой ломаной ностуним следующим образом: разобьем отрезок интегрирования на n равных частей длиной h = b - a и на каждом из отрезков разбиения [xi-1,xi], где i = 0,1 ,..., n, а xi = a + ih, заменим участок кривой y = f(x) секущей, стягивающей концевые точки. Тогда
b
f (x) dx ≈ S 1 + S 2 + ··· + Sn,
a
где S 1, S 2 ,..., Sn — площади трапеций.
|
Рис. 8: Задача 60
h
| Но S1 |
hf(x 0)+f(x 1). S 2 = hf(x 1)+f(x 2)
f(x n- 1 )+f(xn) „
---------------------. Поэтому
) Sn
b f (x) dx «h f (x ^)+ f (x 1) + h f (x 1)+ f (x) +.. ^ + h f (xn - 1) + f (xn)
2 2 2
Приводя подобные члены и учитывая, что h = b - a, окончательно полу-
чаем
| n |
b f(x)dx^b - a(f (x 0) + f (x 1 ) + --- + f (xn-1)+ f(x
n
где xi = a + ih, i = 0,1, 2 ,..., n.
a
Рис. 9: Приближенное вычисление определенных интегралов
|
S 1
S 3
Рис. 10: Построение ломаной
Глава 10
Дифференциальные уравнения
10.1 Основные определения
Дифференциальным, уравнением или подробнее обыкновенным дифференциальным уравнением называют уравнение, неизвестным в котором является функция y = y (x). При этом в дифференциальное уравнение могут входить: аргумент функции x, значение y(x) неизвестной функции в точке x и значения y'(x)^..., y^n (x) нескольких ее производных.
Порядок старшей производной, входягцей в уравнение, называют порядком, дифференциального уравнения.
Пример 29. Примерами дифференциальных уравнений являются
y'(x)+y(x) = 0,
y' = y,
y'y = x.
Иногда дифференциальные уравнения первого порядка записывают в терминах дифференциалов^ а не производных, например,
f(x)gi(y) dx = f2(x)g2(y) dy.
Решением дифференциального уравнения называют такую функцию y = y (x), которая при подстановке ее в это уравпепие обращает его в верное равенство.
Процесс решения дифференциальных уравнений часто называют интегрированием. дифференциальных уравнений.
Пример 30. Пепосредственно проверяется, что функция y = ex является решением дифференциального уравнения y'(x) = y (x) или в краткой
записи
y' = y.
Кроме того, решением того же уравнения является функция y = Ce^ при любом значении постоянной C.
Пример 31. Как известно, все решения дифферепциальпого уравпепия y'(x) = f(x) описьшаются формулой y = F(x) + C, где F — первообразная функции f, а C — произвольная константа.
Примеры 30 и 31 показывают, что решений у дифференциального уравнения может быть много. Оказывается, так бывает всегда. Обычно множество всех решений удается описать одной формулой, содержащей параметры. Общим региением дифференциального уравнения n-го порядка называют функцию вида
| n |
y = ϕ(x,C1,...,C
которая содержит в себе все решения.
Часто сначала удается получить лишь соотношение вида
Φ(y,x,C 1 ,...,C,) = 0 ,
из которого, выражая y через все остальное, можно получить обгцее решение. Такие соотношения называют общими интегралами.
В частности, обгцее решение уравпепия 1-го порядка имеет вид
y = ϕ(x,C),
а обгций интеграл —
Φ(y,x,C) = 0.
Частным решением дифференциального уравнения в противоположность общему решению называют любое конкретное решение. Так что частное решение и просто решение — синопимы.
Например, частное решение можно получить из общего решения, поставляя в него конкретные числовые зпачепия постоянных C 1, C 2 ,..., C ^.
10.2 Математическая модель
демографического процесса
Пусть: x — время
у (х) — количество населения в момент времени х;
ki у(х) — количество людей, рождающихся в единицу времени;
k2у(х) — количество, умирающих людей в единицу времени.
Тогда:
ki у(х)∆х — количество людей, рождающихся за время ∆х;
k2у(х)∆х — количество, умирающих людей за время ∆х.
Увеличение населения за время ∆х есть
у(х + ∆х) - у (х) = ki у(х)∆х - k2 у(х)∆х =
= (k - k2) • у (х)∆х = = kу(х)∆х,
где k = ki - k2. Окончательно получаем
у(х + ∆х) - у(х) = kу(х)∆х.
Разделив это равенство на ∆ж, получаем
у(х + ∆х) - у(х)
--------- ∆^--------- = k ^(") .
А переходя к пределу при ∆х -^ 0, приходим к дифференциальпому уравнению
| у'(х) = kу(х) |
10.Г
которое называют уравнением демографического роста. Мы увидим, что общее решение уравнения (10.1) имеет вид
у = Се''''.
10.3 Понятие о начальной задаче
Чтобы из общего решения дифференциального уравнения получить одно решение, добавляют дополнительные условия, которые называют начальными. Для уравнения первого порядка начальное условие выглядит так:
у(хо) = уо.
Начальной задачей называют нахождение решения, удовлетворяющего начальному условию.
Пример 32. Для уравнения
y (x) = ky(x)
примером начального условия является условие
y (0) = 106.
Оно означает, что в начальный момент население составляло 106.
Чтобы найти решение, удовлетворяющее начальному условию, в общее решение
y = Ce''''
подставляют начальное условие y (x 0 ) = y 0. В нашем примере это приводит к следующему:
C= 106,
y (x) = 106 e ^-" .
Для дифференциального уравнения второго порядка начальные условия выглядят так:
y (x 0 ) = y 0, y ( x 0 ) = y1.
в задачах механики (папомпим, что уравпепие Ньютона mr" = F является дифференциальным уравнением второго порядка) начальные условия имеют смысл начальпого положения и начальной скорости.
10.4 Дифференциальные уравнения с разделяющимися переменными
Примером дифференциального уравнения с разделяющимися переменными является уравнение
y' = f(x)-g(y).
К уравнениям с разделяющимися неременными также относят уравнения, которые можно решить описываемым ниже методом разделения неременных. Например,
f 1 (x)g 1 (y) dx = f 2(x) g 2(y) dy. Метод разделения переменных заключается в следующем.
1. Производную y' записывают в виде ^:
2. Переменные разделяют^ т. е. все, что содержит y и dy, переносят в одну сторону, а все, что содержит x и dx, — в другую:
3. Берут неопределенные интегралы от обеих частей:
в результате вычисления получается соотношение вида
G(y) = F(x) + C,
представляющее собой общий интеграл.
4. Если можно, из этого соотношения y выражают через x и C и
получают общее peuieHue, которое записывают в ответ, а если не удается
выразить y через x и C, то в ответ записывают общий интеграл.
Задача 61. Найдите общее решение дифференциального уравнения
y' = xy. Решение. 1. Запишем производную y' в виде ^:
dy = x y.
dx
2. Разделим неременные, т. е. все, что содержит y и dy^ перенесем в одну сторону, а все, что содержит x и dx^ — в другую:






