Если бы Земля была строго сферической с равномерным распределением плотности, то ее гравитационный потенциал совпадал бы с потенциалом материальной точки, масса которой равна массе Земли. В этом случае спутник двигался бы по законам Кеплера:
1й закон Кеплера: Орбитой спутника является кривая 2ого порядка (окружность, эллипс, парабола), в одном из фокусов которой находится центр масс притягивающего тела.
Спутники, летающие вокруг Земли, имеют эллиптическую орбиту. Эллипс- это геометрическое место точек, сумма расстояний от каждой из которых до двух точек, называемых фокусами, является величиной постоянной, равной 2а, где а- большая полуось эллипса.
PF1+PF2 = 2a

F1 и F2 - фокусы эллипса
АП- линия АПСИД
А-апогей (спутник имеет
наибольшую высоту над землей)
П- перигей (спутник имеет
наименьшую высоту над Землей).
2й закон Кеплера: Радиус-вектор спутника за равные промежутки времени описывает равные площади. Если t1= t2, то S1= S2. Согласно чертежа: путь за время t1 больше, чем время t2, поэтому скорость ИСЗ вблизи перигея больше, чем вблизи апогея.

Фигура, описываемая радиус-вектором спутника-это сектор. Поэтому согласно 2ому закону Кеплера: секториальная скорость ИСЗ есть величина постоянная.
3й закон Кеплера: Отношение квадрата периода обращения спутника к кубу большой полуоси его орбиты является величиной постоянной:

Если предположить, что спутник движется по орбите по законам Кеплера, то такое движение называется невозмущенным.
В действительности движение спутника по орбите очень сложное. Действуют различные возмущающие силы. Движение ИСЗ в этом случае называется возмущенным.
Невозмущенное движение ИСЗ.
Будем считать, что спутник является материальной точкой с массой m. Если движение спутника невозмущенное, то Землю так же принимаем за материальную точку с массой M. С учетом того, что m «М, можно считать что спутник Землю практически не притягивает, т.е. имеет «нулевую массу».
Для вывода дифференциальных уравнений невозмущенного движения ИСЗ выбирем инерциальную систему координат (т.е. неподвижную относительно вращающейся Земли).
Ось ОХ направлена в точку весеннего равноденствия (γ) на какую-либо эпоху t0 (1960, 1990, 2000); Ось OZ направлена (совпадает) по средней оси вращения Земли, относительно той же эпохи t0 ; ось ОУ дополняет систему до правой и лежит в плоскости среднего экватора на ту же эпоху.
Если учитывать действие других сил, кроме взаимодействия Земли и спутника, то вывод дифференциальных уравнений невозмущенного движения ИСЗ, сводится к решению так называемой задачи двух тел.
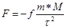
Тогда, пренебрегая действием спутника на Землю, рассмотрим ускорение ω, которая задает Земля спутнику вследствие закона тяготения.
По второму закону Ньютона:
F=m*ω,

где сила F в соответствии
с законом тяготения:

f - постоянная тяготения
τ- геоцентрический радиус-вектор ИСЗ.
Приравнивая найдем:
;
(1)
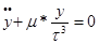
Где f*M=μ - гравитационный параметр
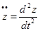
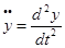
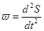
В уравнении (1) ω- ускорение, т.е. вторая производная от пути по времени, поэтому
;
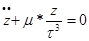
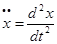
Рассмотрим ускорения вдоль координатных осей:
;
; 
Что бы найти эти величины, нужно правую часть уравнения (1) умножить на направляющие косинусы (α- по оси ОХ, β- по оси ОУ, γ- по оси ОZ):
;
;
; тогда

(2)

Формулы (2)-это дифференциальные уравнения невозмущенного движения ИСЗ.






