На снимке фиксируется положение спутника относительно опорных звезд в определенный момент времени. Для получения углов, определяющих направления на спутник, необходимо установить зависимость между измеренными на снимке координатами ИСЗ и звезд и их экваториальными координатами. Для этого:
1. выбирают координаты опорных звезд из каталогов;
2. обрабатывают материалы регистрации времени;
3. перевычисляют измеренные плоские координаты ИСЗ в экваториальные на эпоху измерений.
Для того, чтобы выбрать из каталога координаты звезд, полученные на снимке, эти звезды необходимо опознать. Процесс опознавания называется отождествлением и выполняется визуально при помощи различных звездных атласов путем сличения конфигураций звезд на снимке и в атласе.
После отождествления звезд на снимке, измеряют их координаты и координаты ИСЗ с помощью высокоточной координатно-измерительной машины. Затем в экваториальные координаты звезд вводят поправки за рефракцию и годичную аберрацию.
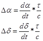
а) Поправка за аберрацию:

Предположим, что в момент
фотографирования спутника Т,
получены его координаты. Эти
координаты необходимо относить не к моменту Т, а к другому моменту Т’. Разность между моментами Т и Т’ вызвана влиянием спутниковой аберрации и называется аберрационным временем:
, где τ- расстояние до ИСЗ, с-скорость света.
При обработке наблюдений, поправкой за аберрацию не обязательно исправлять момент Т. Ее можно учесть, исправляя непосредственно значения прямого восхождения и склонения ИСЗ.
значения скоростей
можно получить из обработки
Негативов, используя прерывистые следы изображений спутников и производя соответствующие измерения.
б) Поправка за рефракцию:
Рефракция- это явление преломления световых лучей, проходящих через воздушные слои различной плотности. Выделить слои невозможно, т.к. воздух сжимаем и на различных расстояниях по высоте, его плотность различна. Поэтому считают, что свет бесконечно много раз преломляется в атмосфере и луч представляет собой кривую большого радиуса.
В зависимости от положения источника и приемника световых волн различают следующие виды рефракции:
ζ-измеренное зенитное расстояние
На- высота источника света над уровен-
ной поверхностью в момент начала
преломления
Нg- высота над уровенной поверхностью
приемника световых волн
а- радиус Земли

.
τА- астрономическая рефракция. Источник света в бесконечности, приемник на поверхности Земли.
τс- полная рефракция: угол между касательными, проведенными к траектории светового луча в начальной и конечной точках преломления света.
τg- Земная (планетная) рефракция: источник света в атмосфере или за его пределами, но на конечном расстоянии (например, ИСЗ), приемник на поверхности Земли.
τf- фотограмметрическая (параллактическая) рефракция: источник света на поверхности Земли, приемник в атмосфере или за ее пределами, но на конечном расстоянии.
Кроме перечисленных имеются еще: нормальная (средняя) рефракция: среднее значение, изменяющегося со временем в зависимости от метеорологических условий, угла рефракции на данном зенитном расстоянии; случайная рефракция: низкочастотные изменения рефракции с частотой около 0,01 герц; аномальная рефракция: случайные длительно существующие отклонения значений угла рефракции от нормальных на данном зенитном расстоянии.
Наиболее исследованными являются астрономическая и Земная рефракции.
При наблюдении ИСЗ может возникнуть необходимость учета всех видов рефракции, но наиболее вероятным является учет Земной рефракции, т.к. ИСЗ находится хотя и на большом, но все же конечном расстоянии от Земли.
Тогда для ИСЗ найдем: 
Для определения τА (для сферической атмосферы) получен интеграл рефракции:
где n-коэффициент преломления воздуха на поверхности Земли; Ng- индекс преломления
в точке наблюдений; φ- угол падения светового луча на границу атмосферы.
Если решить этот интеграл путем разложения в ряд подынтегральной функции, то получим:

Где а,b,с – коэффициенты, зависящие от метеоусловий атмосферы в пункте наблюдений (температура, давление, влажность).
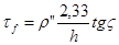
Параллактическая (фотограмметрическая) рефракция
для спутника может быть определена по формуле:

Где h- высота ИСЗ в км; е- основание натурального логарифма.
При h≥1000 км и ζ≤ 45° можно использовать приближенную формулу:
, где h- в метрах (высота ИСЗ).






