В процессе фотографирования, изображения звезд и спутника на снимке, получаются в центральной проекции. Возникает задача перехода от измеренных на снимке прямоугольных координат звезд и ИСЗ к их экваториальным координатам α и δ.
Для получения формул перехода сделаем чертеж:

На рис. О- главная точка снимка
О’- точка на небесной сфере, которой
соответствует точка О на снимке.
OS=s- расстояние от главной точки
Снимка до изображения ИСЗ на снимке.
S’- ИСЗ; F- фокусное расстояние камеры;
σ- угловое расстояние ИСЗ.
Из рис. следует, что между угловым
расстоянием ИСЗ и его линейным расстоя-
нием существует следующая зависимость:
s=Ftgσ (1)
Зависимость (1) называется законом Тангенса.
Пр обработки фотографических наблюдений ИСЗ возникает задача: по измеренным прямоугольным координатам x, y, z звезд и спутника, а также по известным из каталога координатам α и δ опорных звезд, найти экваториальные топоцентрические координаты ИСЗ:
.
Для решения этой задачи вводится специальная система координат ξ и η с началом в точке О (центр снимка).
Эта система координат называется идеальной или стандарной или тангенциальной. Впервые эти координаты были применены для обработки фотографических наблюдений звезд англ. астрономом Тернером в 1893г.
В идеальной системе ось η совпадает с изображением на снимке круга склонений, а ось ξ ей перпендикулярна.
Тогда, если обозначить координаты оптического центра О через Ао,До, то в единицах фокусного расстояния (F=1) в соответствии с рисунком, получим:
(2)
Опустим на сторону О’Р сферический перпендикуляр KS’. Обозначим склонение этого перпендикуляра через q, тогда KP=90-q; O’P=90- До; O’K=q- До. Из прямоугольного треугольника O’KS’ по правилу Непера, получим:
(3)
Подставим (3) в первое уравнение системы (2), найдем:

Из того же треугольника, запишем:

Подставим (5) в (2), получим:

Для определения q из прямоугольного треугольника KPS’:
,откуда
Формулы (4), (5), (6) позволяют определять идеальные ξ и η координаты ИСЗ через известные экваториальные координаты α и δ – это прямая задача.
Обратная задача- это определение экваториальных координат α и δ спутника по его идеальным координатам ξ и η
Эта задача решается по формулам:

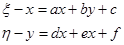
Связь между идеальными координатами спутника (ξ и η) и измеренными на снимке координатами ИСЗ (x, y).
Такая связь устанавливается с помощью уравнений Тернера. Эти уравнения имеют вид:


В этих уравнениях a, b, c, d, e, f постоянные (const) пластинки (коэффициенты уравнений Тернера), которые находят из решения нормальных уравнений, если число звезд более 3х.
Обычно при обработке фотографических наблюдений ИСЗ в качестве опорных используют от 6 до 10 звезд.
Порядок вычисления топоцентрических координат ИСЗ по результатам обработки фотографических наблюдений следующий:
1. Отождествление звезд на снимке с помощью звездных атласов;
2. Выборка из каталога координат опорных звезд (αо и δо);
3. Приведение αо и δо от эпохи каталога на момент наблюдений;
4. Определение по опорным звездам положения центра снимка (Ао,До,);
5. Измерение на снимке прямоугольных координат звезд (x, y) и спутника (xc, yc) и исправления их за ошибки прибора;
6. Переход от экваториальных координат звезд (α и δ) к их идеальным координатам (ξ и η);
7. Составление для звезд уравнений Тернера и определение a, b, c, d, e, f;
8. Составление уравнений Тернера для ИСЗ и определение ξсп и ηсп ;
9. Вычисление топоцентрических экваториальных координат ИСЗ.






