1. Выручка (доход) от реализации продукции составила 100 000 д. ед. Материальные затраты - 50 000 д. ед., накладные расходы – 10 000 д. ед., затраты на заработную плату - 10 000 д. ед.
Необходимо рассчитать: 1) прибыль, 2) налог на прибыль (35 %), 3) чистую прибыль.
Решение
1. Общие затраты составляют:
З = 50 000 + 10 000 + 10 000 = 70 000 д. ед.
По формуле (16.4):
ПР = 100 000 - 70 000 д. ед. = 30 000 д. ед.
2. Налог на прибыль составляет:
НПР = 35 % от 30 000 = 10 500 д. ед.
3. По формуле (16.2):
ЧПР = 30 000 - 10 500 = 19 500 д. ед.
2. Продажная цена основных фондов равна 100 000 д. ед. Первоначальная стоимость основных фондов – 10 000 д. ед. Процент износа основных фондов за год – 10 %.Срок использования основных фондов - 4 года. Индекс инфляции - 10.
Необходимо рассчитать: 1) прибыль от реализации основных фондов, 2) налог на прибыль (35 %), 3) чистую прибыль.
Решение
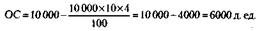
1. По формуле (16.6):

По формуле (16.56):
ПРоф = 100 000 - 6000 х 10 = 40 000 д. ед.
2. Налог на прибыль составляет:

3. По формуле (16.2):
ЧПР = 40 000 - 14 000 = 26 000 д. ед.
3. Выручка от продажи продукции составила 100 млн руб. Торговые издержки - 20 млн руб., оплата труда рабочих предприятия 25 млн руб., материальные затраты – 10 млн руб., накладные расходы – 5 млн руб.
Необходимо рассчитать: 1) прибыль, 2) рентабельность продукции.
Решение
1. Общие затраты составляют:
З = 20 + 25 + 10 + 5 = 60 млн руб.
По формуле (16.4):
ПР= 100 - 60 = 40 млн руб.
2. По формуле (16.9):
