120. Семья, состоящая из родителей и детей, собирается приобрести загородный дом с участком земли. Как родители, так и дети располагают для этой цели некоторыми суммами. Дети предложили родителям, чтобы те отдали им 4/5 своей суммы: если их прибавить к «детским» деньгам, можно будет купить дом стоимостью 600 тыс. у. д. ед., а на оставшиеся у родителей деньги приобрести участок земли. В свою очередь, родители предложили детям свой вариант: к «родительским» деньгам прибавить 5/6 денег детей, а на оставшиеся у детей средства приобрести тот же участок.
1) Какими суммами располагают родители и дети? 2) Сколько стоит участок земли?
121. Вам предлагают купить 100 тонн товара по 300 тыс. у. д. ед. за тонну. Товар в своем составе содержит жидкость, способную с течением времени испаряться (это может быть, например, творог, мясо или огурцы). Выясняется, что взвешивание проводилось месяц назад. Тогда же было определено процентное содержание жидкости, которое равнялось 99 % (по весу). По вашему требованию на день купли проводится повторный замер содержания жидкости, который показывает, что теперь ее уже осталось 96 % (по весу).
|
|
|
Сколько денег вы должны заплатить за товар?
122. Торговая фирма А заключила с торговой фирмой Б контракт на продажу ей партии товара на общую сумму 100 млн руб. (см. рис.).

В контракте предусмотрена уплата фирмой А фирме Б неустойки на случай срыва ее поставки в размере 10% от суммы контракта, т. е. 10 млн руб. В свою очередь, фирма Б заключает контракт с фирмой В на продажу упомянутого товара по удвоенной стоимости, т. е. на сумму 200 млн руб. И здесь предусмотрена уплата неустойки фирмой Б фирме В при срыве фирмой Б контракта – тоже 10 % от суммы контракта, но уже от 200 млн руб., т. е. 20 млн руб. К сожалению, фирма Б не знает, что фирмы А и В находятся в сговоре. По этому сговору фирма А срывает поставку фирме Б и выплачивает ей причитающиеся по контракту 10 млн руб. Но тем самым срывается и поставка товара от фирмы Б фирме В. И фирма Б вынуждена уплатить фирме В 20 млн руб. Разницу в 10 млн руб. фирмы-заговорщики делят между собой.
Что должна сделать фирма Б, чтобы обезопасить себя от такого оборота событий? (Процент неустойки менять нельзя.)
123. Иванов и Петров заправляют свои автомобили бензином из общей бочки. Установлено, что Иванов способен израсходовать весь бензин в одиночку за 14 дней, а совместно с Петровым – за 10 дней.
За сколько дней сможет израсходовать всю бочку Петров, если станет пользоваться ею один? (Попробуйте вначале решить эту задачу на глаз.)
124. Чем отличается спрос от потребности, а потребность от нужды?
125. Перед вами два яблока. Первое на 1/4 больше второго, но зато стоит в 1,5 раза дороже.
|
|
|
Какое из них выгоднее покупать? (Качество яблок будем считать одинаковым.)
126. Вам предлагают на выбор куриные яйца двух размеров. Длина окружности первого яйца 15 см, второго – 18 см. Второе, однако, в 1,5 раза дороже первого.
Какое яйцо выгоднее?
127. Что тяжелее: мешок муки мелкого помола или такой же по объему мешок муки крупного помола?
128. Экспедитору выдали для закупки товаров 480 тыс. у. д. ед. Дано задание купить ровно 20 единиц товаров трех видов: радиоаппаратуру по 30 тыс. у. д. ед. за единицу, одежду по 10 тыс. у. д. ед. за единицу, бытовую технику по 5 тыс. у. д. ед. за единицу, израсходовав при этом все деньги.
Какое количество товаров каждого вида должно быть закуплено?
129. Специалист по рекламе утверждает, что он может, задав 16 вопросов, отгадать любой товар, который вы собираетесь ему предложить. Даже если вы будете отвечать на его вопросы «да» или «нет».
Не переоценивает ли он свои способности?
130. Продавец предлагает вам взвесить товар (например, конфеты) на неисправных чашечных весах (разрегулирование произошло из-за смещения чашек относительно центра весов) следующим образом:
– гиря, равная половине нужного вам веса товара, кладется на левую чашку весов, а часть товара – на правую, и веса уравновешиваются;
– затем гиря перекладывается на правую чашку весов и снова уравновешивается частью товара.
Идея такого взвешивания заключается в том, что если в первом случае получается недовес, то он компенсируется перевесом при втором взвешивании.
Так ли это?
131. На бензоколонку завезли 36 тонн высокосортного бензина. После израсходования 12 тонн этого бензина в емкость закачали столько же бензина низкого сорта. После того как 9 тонн образовавшейся смеси было израсходовано, их тоже заменили низкосортным бензином. Затем таким же образом заменили еще 8 тонн смеси.
Какой процент высокосортного бензина остался на бензоколонке в результате проведенных операций?
132. Единица товара весит 150 граммов. Сколько будет весить миллион единиц такого товара? (Решите устно.)
133. Придумайте дешевый способ создания часов с диаметром циферблата 10 метров на высокой башне.
134. Продается гарнитур бижутерии, состоящий из клипсов, кольца, броши и заколки для волос. Брошь стоит 120 у. д. ед., заколка для волос – 25 у. д. ед. Клипсы с брошью втрое дороже, чем кольцо с заколкой, кольцо же с брошью вдвое дешевле, чем клипсы с заколкой.
Сколько стоят клипсы и кольцо?
135. (Задача Эйлера). Две крестьянки принесли на рынок вместе 100 яиц, одна больше, чем другая; обе выручили одинаковую сумму. Первая тогда сказала второй: «Будь у меня твои яйца, я выручила бы за них 15 крейцеров». Вторая ответила: «А будь твои яйца у меня, я выручила бы за них 6 крейцеров».
Сколько яиц было у каждой?
136. Вы продаете товар по 1000 руб. за штуку. Затраты на единицу товара составляют 750 руб.
Чему равна ваша прибыль и норма прибыли (рентабельность)?
137. Выручка равна 2500 руб.
Какими должны быть затраты, чтобы норма прибыли (рентабельность) равнялась 25 %?
138. Масса прибыли, направляемая на развитие предприятия (накопление), равна 10 млн у. д. ед. Масса прибыли, направляемая на оплату труда (потребление), равна 5 млн у. д. ед.
Какова норма накопления?
139. Масса прибыли равна 5 млн у. д. ед., норма прибыли – 25 %.
Определить: 1) затраты; 2) выручку.
140. Выручка от продажи продукции составила 100 млн у. д. ед. Торговые издержки – 20 млн у. д. ед. Оплата труда рабочих предприятия – 30 млн у. д. ед. Материальные затраты – 10 млн у. д. ед.
Найти: 1) прибыль; 2) норму прибыли (рентабельность).
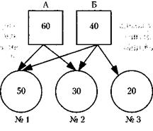
141. Имеются два производителя товаров (А и Б) и три потребителя товаров (№ 1, № 2 и № 3). Все эти элементы каналов распределения действуют независимо. Каждый производитель располагает определенным количеством товара: 50, 30, 20 (см. рис.). Относительная величина прибыли (эффективность) каждого из производителей при продаже товаров каждому из потребителей показана в таблице, помещенной на рисунке (данные приведены в у. д. ед.).
|
|
|


Какая организация каналов распределения наиболее выгодна?
142. Торговой фирме необходимо сделать заказ предприятию-производителю на поставку одного из видов бытовых электроприборов. Годовая стоимость заказа равна 900 млн руб. Стоимость издержек изготовления партии товаров – 10 млн руб. Стоимость издержек хранения товара – 20 % (0,2). Стоимость одного электроприбора – 10 тыс. руб.
Какова стоимость оптимальной партии товара и ее натуральный объем?
143. На рынке орехи стоят 1000 у. д. ед. за 1 кг, а очищенные – 3000 за 1 кг.
Какие орехи выгоднее покупать (не считая затрат на их очистку), если в 1 кг орехов в среднем содержится 400 г ядер? (Попробуйте вначале решить эту задачу на глаз.)
144. В наследство от бабушки вам досталось 9 золотых монет. В завещании указано, что одна из них фальшивая, отличающаяся от настоящих несколько меньшим весом. Это отличие можно установить лишь с помощью очень точных весов. Стоимость одного взвешивания 100 у. д. ед. Вы можете воспользоваться гирями (вес монет неизвестен) или взвешивать монеты по отношению друг к другу, раскладывая их в любом количестве по двум чашкам весов.
Во сколько может обойтись вам обнаружение фальшивой монеты?
145. Вы с компаньоном собираетесь поровну разделить имущество предприятия. Как это сделать справедливо и не прибегая к посторонней помощи?
146. Как разделить имущество между несколькими членами товарищества, не прибегая к посторонней помощи?
147. У разорившегося предпринимателя спросили, сколько он имел капитала, когда объявил себя банкротом. Ответ был следующим: «Если бы к этому капиталу прибавить миллион рублей, то получилось бы столько, сколько мне нужно было, чтобы не разориться, а если бы прибавить два миллиона, то получилось бы вдвое больше того, что мне нужно было, чтобы не разориться».
Сколько у предпринимателя было капитала, когда он объявил себя банкротом?
|
|
|
148. Как разделить между двумя компаньонами 7 млн руб. так, чтобы у одного оставалось денег ровно на 3 млн руб. больше, чем у другого?
149. У каждого из четырех предпринимателей есть денежный капитал, размер которого они друг от друга скрывают. Между тем банку, в котором они держат деньги, известно, что, если бы они образовали общий капитал даже втроем, их денег было бы вполне достаточно для создания акционерного предприятия с уставным капиталом 750 тыс. у. д. ед. Ибо их общий капитал без первого предпринимателя составил бы 900 тыс. у. д. ед., без второго – 850, без третьего – 800, без четвертого – 750 тыс. у. д. ед.
Сколько денег на счету у каждого предпринимателя?
150. Знаменитый американский ученый и государственный деятель Бенджамин Франклин завещал жителям города Бостона 1000 фунтов стерлингов на следующих условиях:
– деньги давать под 5 % годовых молодым ремесленникам;
– через 100 лет из накопленных (с учетом процентов на проценты) денег 100 тыс. фунтов стерлингов пустить на постройку общественных зданий;
– оставшиеся после этого деньги отдать под те же проценты еще на 100 лет;
– по истечении этого срока накопленную сумму разделить между бостонскими жителями и правлением Массачусетской общины, которой передать 3 млн фунтов стерлингов.
Сколько денег должно было достаться бостонским жителям через 200 лет после смерти Б. Франклина (он умер в 1790 году)?
151. В семейном предприятии участвуют братья и сестры. У одного из братьев число братьев и сестер одинаково, а у одной из его сестер вдвое меньше сестер, чем братьев.
Сколько в семейном предприятии братьев и сестер?
152. Умирая, муж оставил завещание жене, которая ждала ребенка:
– если она родит сына, то ему будет причитаться 2/3 оставленного имущества, а матери – 1/3;
– если родится дочь, то имущество распределяется между ней и матерью в соотношении 1/3 и 2/3.
Родились близнецы – мальчик и девочка. Как в этом непредвиденном случае распределить по справедливости имущество?
153. М. Е. Салтыков-Щедрин описывает в «Господах Головлевых» такую сцену: «Порфирий Владимирович сидит у себя в кабинете, исписывая цифирными выкладками листы бумаги. На этот раз его занимает вопрос: сколько было бы у него теперь денег, если бы маменька подаренные ему при рождении дедушкой на зубок сто рублей не присвоила себе, а положила в ломбард на имя малолетнего Порфирия? Выходит, однако, немного: всего восемьсот рублей». Попробуйте по приведенным цифрам рассчитать, сколько процентов платил в то время ломбард по вкладам. Возраст Порфирия в момент его расчетов примем равным пятидесяти годам.
154. Вы получили в банке ссуду на 1 год в размере 5 млн руб. Ссуда принесла банку годовой доход 100 тыс. руб.
Какому проценту годовых (норме процента) это соответствует?
155. Вы хотите получить годовой доход 1 млн руб. при норме процента 5 % годовых.
Какую ссуду вам необходимо взять на год?
156. Вы получили в банке ссуду 300 тыс. руб. при норме процента 10 % годовых.
Каков будет доход банка?
157. Банк выплачивает своим вкладчикам банковский процент – 4 % годовых и дает ссуды заемщикам под 10 % годовых.
Чему равна банковская прибыль от средств вкладчиков в 10 млн руб. при выдаче ссуд заемщикам на 5 млн руб. на 1 год?
158. Банк выдал ссуду 10 млн руб. из расчета 8 % годовых.
Каков будет доход банка за 3 месяца (без учета процентов на проценты)?
159. Вы располагаете суммой в 100 тыс. руб. Банк дает 8 % годовых. Акционерное общество выпустило 80 привилегированных акций по стоимости 25 тыс. руб. каждая с доходом на акцию 10% годовых и 100 обыкновенных акций стоимостью 20 тыс. руб. каждая. На дивиденды выделено 800 тыс. руб.
Куда лучше вложить деньги на 1 год: 1) в банк, 2) в привилегированные акции, 3) в обыкновенные акции?
160. Предприниматель располагает собственным капиталом в 100 млн руб. и берет взаймы в банке под 10 % годовых еще 50 млн руб. Планируемая прибыль составляет 30 %.
Чему равен доход предпринимателя?
161. Вы располагаете капиталом в 100 млн единиц и рассматриваете альтернативные возможности вложения его либо в производство кинофильма, либо в торговлю.
Вероятность успеха вложения капитала в кинофильм – 0,2, в торговлю – 0,7.
Вероятность неуспеха вложения капитала в кинофильм – 0,8, в торговлю – 0,3.
В случае успеха кинофильм дает 90 % прибыли, торговля – 30 %.
В случае неуспеха кинофильм дает 10 % прибыли, торговля – 20 %.
Куда выгоднее вложить капитал?
162. Сберегательный банк выплачивает проценты по вкладам суммой более 100 тыс. руб. на следующих условиях:
деньги, положенные на срок не менее 1 года, – 150 % годовых,
деньги, положенные на срок не менее 6 месяцев, – 130 % годовых,
деньги, положенные на срок не менее 3 месяцев, – 120 % годовых.
Вы располагаете суммой 100 тыс. руб. в течение года.
Какая форма вклада принесет вам наибольший годовой доход? (Попробуйте вначале решить эту задачу на глаз.)
163. Готовится издание книги, ориентировочная продажная цена которой будет 10 у. д. ед. Совокупные постоянные издержки на издание данной книги (редактирование, оформление, набор, управленческие расходы, налоги и страховые выплаты, аренда помещений и оборудования, амортизационные расходы и др.) составят 200 тыс. у. д. ед. Совокупные переменные издержки на один экземпляр данной книги (бумага, материал на обложку, типографские расходы, переплетные работы, сбыт, авторский гонорар и др.) составят 6 у. д. ед.
Необходимо 1) рассчитать, при каком тираже издание книги будет безубыточным (так называемая точка безубыточности); 2) произвести этот же расчет при условии, что цена книги 11 у. д. ед.
164. Руда добывается на трех шахтах и доставляется на переработку на два металлургических комбината. Количество руды, добываемое на шахтах и потребляемое металлургическими комбинатами, показано на рисунке. Там же приведена таблица стоимости перевозки руды (в у. д. ед.) по разным маршрутам.

Как спланировать перевозку руды наилучшим, наиболее экономичным образом? (Попробуйте вначале решить эту задачу на глаз).
165. Оптовая база приобрела у производственного предприятия партию товара по закупочной цене и продала ее магазину розничной продажи по оптовой цене на 20 % выше закупочной. В свою очередь, магазин розничной продажи установил розничную цену товара на 30 % выше оптовой. В конце сезона розничная цена была снижена на 10 % и составила 100 у. д. ед. за единицу товара.
Чему равна закупочная цена единицы товара?
166. Объем продаж составлял 200 единиц товара в месяц. После снижения цены объем продаж вырос за месяц на 100 единиц и доход составил 600 у. д. ед.
Какова была цена товара до и после ее снижения, если известно, что спрос на товар растет обратно пропорционально снижению цены?
167. Вы располагаете 100 млн руб., которые решаете израсходовать на организацию и проведение лотереи. По условиям лотереи выигрыши определенной крупной суммы денег выплачиваются на часть билетов выпуска. Количество выпущенных лотерейных билетов – 10 млн. Стоимость одного лотерейного билета – 1 тыс. руб. Величина выигрыша на счастливый билет – 10 млн руб. Какова будет вероятность выигрыша при покупке одного билета лотереи с учетом того, что вы рассчитываете на прибыль от вложения, равную 30 %?
168. В условиях предыдущей задачи проанализируйте, какие изменения должны произойти, если вы решите поднять вероятность выигрыша до 1 %? (Количество выпущенных билетов, их стоимость и ожидаемая прибыль остаются неизмененными.)
169. Вероятность выигрыша на один билет равна 1 %.
Сколько нужно приобрести билетов, чтобы с вероятностью 0,7 хотя бы один (не менее, чем один) из них выиграл?
170. Автомобиль с прицепом стоит 1,5 млн у. д. ед., причем автомобиль дороже прицепа на 1,3 млн у. д. ед.
Сколько стоят автомобиль и прицеп по отдельности? (Попробуйте вначале решить эту задачу на глаз.)
171. Выручка от реализации продукции равна 100000 у. д. ед. Материальные затраты – 50 000 у. д. ед. Накладные расходы – 10 000 у. д. ед. Затраты на зарплату – 10 000 у. д. ед. Налог на прибыль принят равным 32 %.
Чему равны прибыль, налог на прибыль, чистая прибыль (исходя из налога на прибыль, равного 32 %)?
172. Продажная цена основных фондов равна 100 000 у. д. ед. Первоначальная стоимость основных фондов – 10 000 у. д. ед. Процент износа основных фондов за год – 10 %. Срок использования основных фондов – 4 года. Индекс инфляции – 10.
Чему равны остаточная стоимость и прибыль от реализации основных фондов?
173. Выручка от продажи продукции составила 200 у. д. ед. Торговые издержки – 60 у. д. ед.
Оплата труда рабочих – 50 у. д. ед. Материальные затраты – 20 у. д. ед. Накладные расходы – 10 у. д. ед.
Необходимо рассчитать: 1) прибыль, 2) рентабельность продукции.
174. В промтоварный отдел магазина зашел покупатель и попросил подобрать ему шапку. Подошла шапка за 6000 у. д. ед. Покупатель протянул продавцу десятитысячную купюру. Сдачи у продавца не оказалось, и он пошел разменять эту купюру в продовольственный отдел. Вернувшись с разменянными деньгами, он дал покупателю сдачу и вручил ему покупку. Покупатель ушел. Через несколько минут в промтоварный отдел влетел разгневанный продавец-продовольственник, который разменивал деньги. В руках у него была десятитысячная купюра, оказавшаяся фальшивой.
На какую сумму пострадал продавец промтоварного отдела? (Не забудьте учесть, что ему придется уплатить за шапку и возвратить деньги продавцу-продовольственнику.)
175. Вы взяли в банке в кредит 1 млн руб. на 10 месяцев при ежемесячной кредитной ставке 30 %. Процент начисления простой.
Сколько вам придется уплатить за кредит?
176. Вы положили в банк 10 тыс. руб. на срочный вклад при процентной ставке 10 % годовых (с учетом выплаты процентов на проценты).
Сколько денег вы получите через два года?
177. Через сколько лет вклад, равный 10000 руб., при срочной процентной ставке 10 % годовых (с учетом выплаты процентов на проценты) превратится в 1 млн руб.? (Попробуйте вначале решить эту задачу на глаз.)
178. Товар хороший, но дорогой – 300 у. д. ед. за штуку. Поэтому покупали его редко, и товар стал залеживаться. Если продавать его подешевле, наверняка бы раскупили. Вот как это можно сделать. Надо установить цену товара, в три раза меньшую – по 100 у. д. ед. за штуку. Но каждого покупателя обязать оплатить помимо стоимости товара еще два талона на право его приобретения стоимостью 100 у. д. ед. каждый. Покупателям можно объяснить, что, поскольку товар очень хороший и дешевый, эти талоны легко будет реализовать – всегда найдутся двое желающих купить талоны с правом приобретения на них дешевого товара. Не успеете вы и оглянуться, как ваш залежалый товар буквально расхватают.
В этом замечательном предложении есть одна неувязка: вы продаете единицу товара за 300 у. д. ед., а покупатель тратит на нее 100 у. д. ед. Кто оплачивает разницу?
179. Вам предлагается заключить следующий договор:
– в течение одного месяца (30 дней) вам будет ежедневно выплачиваться по 100 тыс. долларов;
– в течение этого же времени вы будете платить в первый день 1 цент, а в каждый следующий день удваивать то, что платили в предыдущий, т. е. во второй день – 2 цента, в третий – 4 и т. д.
Согласитесь ли вы на такие условия?
180. Оплачивая чек клиенту, работник банка ошибся и выплатил сотнями тысяч рублей сумму, указанную в чеке в тысячах рублей, и наоборот – тысячами рублей сумму, указанную в сотнях тысяч. Клиент обнаружил ошибку, лишь истратив 350 тыс. руб. В этот момент оставшаяся у клиента сумма вдвое превышала ту, которую он указал в чеке.
На какую сумму был выписан чек? (Вначале попытайтесь определить на глаз, на сколько ошибся работник банка.)
181. Вам предложили сделку:
– вы кладете деньги в банк, где они каждый месяц удваиваются (к концу первого месяца их становится в два раза больше, к концу второго – в четыре раза и т. д.);
– за это вы платите банку ежемесячно 2400 руб., которые банк изымает из ваших денег после каждого их удвоения.
Выгодна ли для вас эта сделка?
182. У меня 25 тыс. руб., у вас 50 тыс. руб.
1) На сколько процентов у меня денег меньше, чем у вас? 2) На сколько процентов у вас денег больше, чем у меня?
183. Попытаемся с помощью математики сравнить стоимость килограммового слитка золота и одной копейки. Обозначим стоимость слитка золота буквой х, а вес копейки – буквой у. Тогда

У нас получилось, что стоимость килограммового слитка золота равна стоимости одной копейки.
Где мы допустили ошибку в расчетах?
184. В результате износа цена товара снизилась на столько же рублей, на сколько и процентов.
Сколько первоначально стоил товар?
185. Цены на товары повысились в 150 раз, а заработная плата в – 100 раз.
На сколько процентов упала реальная заработная плата?
186. Во внешнеэкономическом объединении в 60 % многосторонних международных операций участвуют США, в 80% – Великобритания, в 85 % – Япония, в 90 % – Германия.
Какой процент операций охватывает все эти страны вместе?
187. Разделить 25 руб. на две части так, чтобы одна была в 49 раз больше другой.
188. Вероятность получить высокую прибыль в некоторой коммерческой операции равна 30 % (из опыта).
Сколько нужно провести таких операций, чтобы получить эту прибыль с вероятностью 90%?
189. Доход предприятия от реализации продукции, работ, услуг составил за год 100 млн руб. Доход от внереализационных операций – 150 млн руб. за год. Затраты предприятия по этим реализационным и внереализационным операциям составили 90 млн руб., в том числе на оплату труда – 50 млн руб.
Необходимо рассчитать: 1) валовый доход, 2) облагаемую прибыль, 3) налог на прибыль (из расчета 35 %), 4) чистую прибыль, 5) взносы в бюджет из фонда оплаты труда (из расчета 39%).
190. Предприятие приобрело у поставщика (производителя) продукцию за 240 млн руб. Эта продукция будет реализована предприятием за 300 млн руб.
Какой налог на добавленную стоимость (из расчета НДС = 20 %) уплатят в бюджет: 1) поставщик. 2) предприятие-покупатель?
191. При найме менеджера на работу в контракте было указано, что за год ему будет выплачиваться зарплата в размере 500 тыс. у. д. ед. и премия в виде телевизора или другой вещи подобной стоимости, которая выдается авансом в начале года. Менеджер разорвал контракт, проработав 7 месяцев. При увольнении он получил 240 тыс. у. д. ед.
В какую сумму была оценена выданная ему в начале года премия?
192. Известный адвокат взял себе в обучение ученика на следующих условиях. Обучение будет вестись без текущей оплаты. Всю сумму оплаты ученик отдаст лишь после того, как учеба окончится и он выиграет в суде свое первое дело. Однако все пошло по-другому. После того как закончилась учеба, ученик не стал вести дел в суде, уклоняясь тем самым от уплаты. В ответ на это учитель пригрозил, что подаст на ученика в суд и поставит его, таким образом, в безвыходное положение: если ученик в суде дело проиграет, то ему придется уплатить учителю по решению суда, а если он дело выиграет, то уплатит по условию соглашения с учителем (как выигравший свое первое дело в суде). Ученик, однако, не растерялся – он был достоин своего учителя – и выдвинул встречные соображения: «Если я проиграю в суде это дело, то не заплачу по условию нашего соглашения; если же дело будет мною выиграно, то не заплачу по решению суда».
Есть ли из создавшейся ситуации какой-нибудь выход?
193. По договору работнику в первый день работы выплачивается одна тысяча рублей, во второй – две, в третий – три и т. д.
Сколько денег он заработает за сто дней? (Попробуйте решить эту задачу устно и быстро.)
194. В результате умелого стимулирования труда 80 % рабочих предприятия стали работать на 25 % производительнее.
На сколько процентов вырос выпуск продукции на предприятии?
195. Я поставил свои часы по часам сослуживца и через некоторое время, сверив с ним часы, увидел, что мои отстали ровно на три четверти часа. Сослуживец сказал, что его часы спешат примерно на 12 минут в сутки. Мои же, я знал, за то же время отстают примерно в три раза больше.
Сколько времени прошло с момента постановки до сверки часов?
196. Участок, предназначенный для проведения ярмарки, имеет форму квадрата и разбит на 36 одинаковых квадратных участков, образующих 6 продольных и 6 поперечных рядов. В двух противоположных углах установлены павильоны для администрации ярмарки. Остальные павильоны решено разместить таким образом, чтобы в каждом продольном и поперечном ряду, а также по двум диагоналям оказалось по два сооружения (включая административные павильоны).
Какое количество павильонов можно расположить на ярмарочной площади?
197. Предприятие А проводит с партнерами Б и В коммерческие операции. Вот их некоторые итоги. Два месяца назад предприятие А выплатило партнерам Б и В по определенной сумме, в результате начальные капиталы каждого из них уравнялись. Месяц назад предприятия А и Б получили от предприятия В суммы, удвоившие их текущие капиталы. И наконец, в этом месяце предприятия А и В получили от предприятия Б такие суммы, которые удвоили их текущие капиталы. В результате проведенных операции капиталы всех трех участников уравнялись, причем предприятие А потеряло 60 тыс. у. д. ед.
Какими начальными капиталами располагали партнеры?
198. Предприниматель решил вложить 8 млн у. д. ед. в сопряженные с риском операции А и Б на следующих условиях:
– вложение в операцию А больше, чем в операцию Б;
– при любом исходе операций вложения теряются;
– в случае успеха операции вложение увеличивается в число раз, равное величине вложения.
После успешного проведения обеих операций предприниматель увеличил свой первоначальный капитал в 4 раза.
Чему равны вложения в операции А и Б?
199. Сооружение А в три раза старше, чем сооружение Б; сооружение В в пять раз старше, чем А; сооружению Г, что и Б, но все вместе уступают по возрасту на десять лет сооружению Д, которому сегодня исполнилось 70 лет.
Каков возраст каждого сооружения?
200. Предприниматель заключил со своим лечащим врачом следующий оригинальный договор: за те дни, когда предприниматель здоров, он выплачивает врачу по 30 тыс. у. д. ед., а за те дни, когда он нездоров, врач платит ему по 20 тыс. у. д. ед. По истечении некоторого срока врачу пришлось отказаться от продолжения договора: оказалось, он задолжал предпринимателю 100 тыс. у. д. ед.






