Соль – самая важная приправа. Не солите излишне, вы всегда можете добавить больше соли при необходимости, но не сможете избавиться от лишней соли.
Столовая соль имеет мелкие гранулы, в нее часто добавляется йод, и другие добавки, чтобы избежать образования комков.
Морская соль происходит из различных мет, и бывает различных видов. Ее цвет может варьироваться от серого до зеленого и красного, в зависимости от присутствующих минералов и других веществ. Эти вещества придают соли различные оттенки вкуса, а крупные гранулы приятны по своей текстуре.
Более подробно про соль читайте здесь.
Целый и раздавленный черный перец – чаще всего используется для добавления к бульонам и соусам, и иногда к красному мясу. Молотый черный перец используется едоком во время трапезы.
Молотый белый перец – очень важен на профессиональных кухнях. Его вкус слега отличается от вкуса черного перца, в небольших количествах он отлично смешивается с другими продуктами. Его белый цвет делает его незаметным в «светлых» блюдах.
|
|
|
Зеленый перец горошком относительно дорогой и часто используется в особых рецептах в дорогих ресторанах. Он бывает мягким, консервированным в воде, рассоле, уксусе. Тот, что в воде или рассоле по вкусу лучше, чем тот, что в уксусе. Но использовать его нужно в течение нескольких дней после открытия. В сухом виде он тоже продается.
Кайенский перец - если его использовать в малюсеньких количествах, добавляет остроты супам и соусам, не изменяя их вкус. В больших количествах он прибавляет остроту и вкус многим блюдам, например Мексиканской или Индийской кухни.
Лимонный сок – часто используется для оживления вкуса соусов, закусок и супов.
Свежие травы почти всегда предпочтительнее сухих. Сегодня можно купить практически любые травы. Пользуйтесь этой возможностью!
Чеснок, репчатый лук, лук-шалот, а также морковь и сельдерей – очень часто используемые добавки. Их тоже лучше использовать свежими, а не сушенными.
Вино, бренди и другой алкоголь – используется для ароматизации соусов и супов, многих закусок. Бренди нужно поджигать или кипятить, чтобы избавиться от излишней крепости. Столовые вина часто нуждаются в уваривании, чтобы получить нужный вкус. Крепленые вина, например шерри или мадера, могут добавляться в конце приготовления, как вкусовые добавки.
Готовая горчица – смешение молотых зерен горчицы, уксуса и других специй. Она используется для добавления к мясу, соусам, салатным заправкам и просто как приправа к столу.
Тёртая кожура лимона или апельсина используется в соусах, добавляется к мясу, птице, рыбе и выпечке. Использовать нужно только цветную часть кожуры – цедру.
|
|
|
Глютамат натрия – часто используется в азиатской кухне. Он не изменяет вкус продуктов, но воздействует на вкусовые рецепторы. У некоторых людей он может вызывать головные боли и боли в груди.
Травы и специи
Травы – листья растений, обычно произрастающих в умеренном климате.
Специи – бутоны, фрукты, семена, цветки, кора, кони растений и деревьев, многие из которых произрастают в тропическом климате.
Иногда трудно различить травы и специи, но это не столь важно для их грамотного использования в кулинарии.
Правила использования трав и специй
1. Познакомьтесь с ароматом, вкусом и воздействием на продукты каждой травы и специи.
2. Храните сухие травы и специи в прохладном месте, хорошо закрытыми, в непрозрачных контейнерах. Тепло, свет и влага негативно воздействуют на травы и специи.
3. Не используйте несвежие травы и специи, и не покупайте больше, чем вы можете использовать за 6 месяцев.
4. Будьте внимательны при использовании недавно купленных трав и специй, их вкус будет сильнее, поэтому легко переборщить.
5. Используйте специи хорошего качества, не экономьте на них, это мнимая экономия.
6. Целые специи требует более длительного приготовления, чем молотые. Учитывайте это.
7. Чтобы легко извлечь специи из жидких блюд, заверните их в кусочек марли или муслина.
8. Лучше добавить меньше, а потом еще чуть-чуть, чем переборщить.
9. Кроме как в некоторых блюдах (например, в карри) специи не должны доминировать. Часто они даже не должны быть очевидны.
10. Специи и травы, добавленные в блюда, приготовленные без тепловой обработки, например в салаты и заправки, требуют несколько часов, чтобы их вкус и аромат смешался с блюдом.
11. Пробуйте блюда перед подачей. Как еще вы сможете добавить специй при необходимости?
ТЕМА ПОНЯТТЯ ХАРЧОВОЇ ЦІННОСТІ
По общепринятой терминологии в понятие «пищевая ценность» входят количественное соотношение пищевых веществ в продукте и суммарная энергетическая ценность, органолептические характеристики изделия и способность веществ перевариваться и усваиваться организмом (рис. 4.1).
Энергетическая ценность дает представление о той части энергии, которая выделяется из пищевых веществ в процессе их биологического окисления в организме. Необходимая энергетическая ценность пищи для людей разного пола, возраста, массы, рода деятельности колеблется от 2850 до 20875 кДж/сут. В зависимости от вида мяса и его состава мясопродукты имеют различную энергоемкость — от 147,5 до 1662,5 кДж на 100 г продукта.
Зная уровень усвоения пищевых веществ в организме (белок 84,5 %, жир — 94 %, углеводы — 95,65 %) и величину теплоты сгорания компонентов пищи, можно рассчитать энергетическую ценность продукта.
Таким образом, зная общий химический состав и массу продукта, а также энергетическую ценность пищевых веществ, можно рассчитать пищевую ценность мясных изделий в энергетическом выражении.

Рис. 4.1. Показатели пищевой ценности

Рис. 4.2. Критерии оценки потенциальной биологической ценности белка
Наряду с этими свойствами пищевые вещества являются источником биологически необходимых, незаменимых веществ. С этих позиций весьма важными являются показатели биологической ценности белка (рис. 4.2). Понятие биологической ценности (БЦ) характеризует качество белкового компонента продукта, обусловленное как степенью сбалансированности состава аминокислот, так и уровнем переваримости и ассимиляции белка в организме.
В среднем взрослый человек в течение суток должен получать с пищей 1 — 1,2 г белка на 1 кг массы тела. Однако он нуждается не просто в белке, а в белке определенного состава. Белки, содержащиеся в различных продуктах, неравноценны. Из 20 аминокислот 8 являются незаменимыми, в отличие от других они не синтезируются в организме. По этой причине 30 % суточного белкового рациона человека должны составлять полноценные белки, содержащие все незаменимые аминокислоты, годовая потребность человека в полноценном белке — 20 кг.
|
|
|
Если в рацион входит несколько взаимообогащающих неполноценных белков, они должны поступать в организм одновременно и в определенном соотношении. В организме накопления аминокислот нет, а синтез белка происходит только при наличии всех незаменимых аминокислот в заданной количественной пропорции. Главным признаком полноценных белков является то, что в состав их молекул наряду с прочими аминокислотами входят радикалы незаменимых аминокислот (валина, лейцина, изолейцина, триптофана, метионина, лизина, фенилаланина, треонина). Четыре аминокислоты (тирозин, цистеин, аргинин и гистидин) считают условно незаменимыми. Следует отметить, что дефицит незаменимых аминокислот в питании может привести к нарушению здоровья человека.
На основе многолетних медико-биологических исследований ФАО/ВОЗ (1973 г.) был предложен критерий для определения качества белка — эталон, сбалансированный по незаменимым аминокислотам (табл. 4.2) и в наибольшей степени отвечающий потребностям организма. Часто за эталон принимают белки молока или яйца.
Т a 6 л и ц a 4.2
Эталон определения качества белка, сбалансированный по незаменимым аминокислотам, г/100 г белка
| Наименование аминокислоты | куриное яйцо | молоко | Эталон ФАО ВОЗ | ||
| женское | : коровье | взрослые | Дети 2-5 лет | ||
| Изолейцин | 6.9 | 0.4 | 6.4 | 4.2 | 2.S |
| Лейцин | 9.4 | 8.9 | 9.9 | 7.0 | 6.6 |
| Валин | 7.4 | 6.6 | 6.9 | 4.8 | 3.5 |
| Фенилаланин | 5.8 | 4.6 | 4.9 | 7.3 | 6.3 |
| Тирозин | 4.1 | 5.5 | 5,1 | 7.3 | 6.3 |
| Цистин | 2.3 | 2.1 | 0.9 | 2.6 | 2,5 |
| Метионин | 3.3 | 2 1 | 2.4 | 2.6 | 2.5 |
| Треонин | 5.0 | 4.6 | 4.6 | 3.5 | 3.4 |
| Триптофан | !.6 | 1.6 | 1.4 | 1,1 | 1.1 |
| Лизин | 6.9 | 6,3 | 7.8 | 5 Л | 5,8 |
На основании сопоставления результатов определения количества незаменимых аминокислот в исследуемом продукте с данными эталона можно расчетным путем определить индекс биологической ценности или так называемый аминокислотный скор. Применительно к мясным изделиям расчет скора ведут либо для всех незаменимых аминокислот, либо для трех наиболее дефицитных: лизина, триптофана и суммы серосодержащих (метионин + цистин).
|
|
|
Следует отметить, что дефицит незаменимых аминокислот зависит как от качественного состава самого сырья (например, белок крови содержит мало метионина и изолейцина), так и от степени воздействия на белок различных внешних факторов. Например, при жестких режимах термообработки и щелочного гидролиза ряд аминокислот разрушается.
Кроме определения аминокислотного скора некоторые исследователи применяют и другие методы расчета потенциальной биологической ценности белка (индекс Озера, индекс Корпачи, показатель Митчелла и др.), причем наиболее простым и распространенным является метод расчета величины качественного белкового показателя (КПБ), представляющего собой отношение количества триптофана к оксипролину. Метод дает возможность установить соотношение мышечных и соединительнотканных белков.
Необходимо отметить, что по аминокислотному составу и аналитическому расчету показателей биологической ценности можно иметь представление лишь о потенциальной ценности белкового компонента, так как организм человека использует не все, что поступает в него с пищей, а только то, что после переваривания в пищеварительном тракте всасывается через стенки кишечника в кровь.
Вторым компонентом, количественно преобладающим в составе мяса, является жир, представленный в основном триглицеридами. Биологическая роль триглицеридов состоит в том, что они являются источниками энергии и. кроме того, содержат несинтезируемые в организме человека высоконепредельные жирные кислоты и жирорастворимые витамины, роль которых в физиологии весьма велика.
В суточном потреблении взрослого человека (80—100 г, в том числе 20—25 г растительных жиров) должно содержаться 2—6 г полиненасыщенных жирных кислот, 35 г олеиновой кислоты и 20 г насыщенных жирных кислот. Соотношение между количеством полиненасыщенных и насыщенных жирных кислот должно составлять 0,3: 0,35.
Определение уровня биологической ценности липидов можно произвести расчетным путем, сопоставляя потребное количество каждого из незаменимых компонентов в формуле сбалансированного питания с его содержанием в продукте.
При определении биологической ценности жиров большое значение имеет наличие и количественное содержание «триады» так называемых незаменимых жирных кислот. Подобно незаменимым аминокислотам они синтезируются ограниченно или не синтезируются в животных организмах совсем.
Полиненасыщенные кислоты. Из полиненасыщенных жирных кислот к биологически активным относятся линолевая, линоленовая и арахидоновая.
Перечисленные полиненасыщенные жирные кислоты являются жизненно необходимыми веществами, обладают витаминной активностью. Смесь этих кислот получила название витамина F. Недостаток этих кислот в пище приводит к отставанию животных в росте, у них появляются дерматиты, наблюдаются выпадение волос и другие признаки витаминной недостаточности. При длительном исключении витамина F из пищи животные погибают. Человек также нуждается в витамине F, так как недостаток его в пище тоже приводит к кожным заболеваниям, выпадению волос и т. д. Считают, что полноценная по содержанию витамина F пища должна иметь в своем составе 0,1 % арахидоновой или 1 % линолевой и линоленовой кислот (табл. 4.3).
Таблица 4.3Содержание полиненасьпценных кислот в некоторых жирах
| Жир | Массовая доля жирных кислот,% | ||
| линолевой | линоленовой | арахидоновой | |
| Шпик свиней, находившихся на кормовом рационе: | |||
| плохом | 12,54 | 0,82 | 1,04 |
| хорошем | 12,04 | 0,56 | 0,38 |
| Жир: | |||
| вареного окорока | 13,30 | 0,71 | 0,85 |
| говяжий | 2,50 | 0,58 | 0,13 |
| свиной | 11,15 | 0,36 | 0.59 |
Витамины. Представляют собой биологически активные веще ства. обеспечивающие нормальное течение биохимических и фи зиологических процессов в живом организме. В жировой ткани присутствуют жирорастворимые витамины групп A. D. Е. К. Содержание двух последних незначительно.
Большинство животных жиров имеют цвет, за исключением свиного и козьего. Окраска зависит от наличия каротиноидов — пигментов, окрашивающих жиры в желтый цвет и одновременно служащих провитаминами. Например, под действием фермента каротиназы кишечника каротины превращаются в витамин А. Количество каротинов в жирах зависит от условий откорма животных. Максимальное количество каротинов в жирах отмечается при пастбищном откорме к осени. Витамины группы Е кроме пищевого значения выполняют роль природных актиоксидантов. Благодаря наличию большого количества непредельных химических связей в своей структуре при благоприятных условиях витамин Е легко окисляется, предохраняя жир от порчи.
Суммарное содержание витаминных примесей служит показателем биологической ценности жиров.
Количественное соотношение белков и жиров в составе продукта влияет на усвояемость тех и других компонентов. При повышенном содержании жира тормозится отделение желудочного сока, замедляется переваривание белков пепсином и трипсином, изменяется обмен некоторых веществ, подавляются система свертывания крови и процесс ассимиляции витаминов. Установлено, что оптимальным соотношением жира и белка в пищевых продуктах является 1(0,8): 1,0. Определенное соотношение белка и жира в мясе играет значительную роль в формировании биологической ценности мясопродуктов и позволяет с научной точки зрения подойти к вопросам рационального использования сырья и обоснованного создания рецептур и технологий.
Химическая оценка биологической ценности белков важна и необходима, но пассивна, поскольку отражает лишь потенциальную возможность белка в удовлетворении потребностей человека и животных. Конечный же результат зависит от особенностей структуры белка и атакуемости его со стороны пищеварительных протеиназ (пепсина, химотрипсина, трипсина и др.).
Под действием пищеварительных ферментов белковые вещества расщепляются на отдельные фрагменты (аминокислоты и пептиды), которые проникают через стенку кишечника и ассимилируются организмом. Биоактивность характеризует способность продукта стимулировать процессы внутреннего обмена веществ, секреторную функцию. Таким образом, соотносительная зависимость между биологической ценностью белков и их аминокислотным составом может быть справедлива лишь при условии достаточно высоких скоростей переваривания ферментами пищеварительного тракта, усвояемости компонентов и их биоактивности. В связи с этим перечисленные показатели являются составными частями биологической оценки пищевых продуктов. Биологическая доступность белка и степень его усвоения зависят от многих факторов. В частности, они обусловлены природой белка и его структурой: например, белки соединительной ткани расщепляются хуже, чем мышечные; нативные — хуже, чем денатурированные. Изменение физической структуры мяса (степени дисперсности за счет измельчения) и биохимической структуры белка (денатурация) повышает доступность компонентов действию пищеварительных ферментов. Образование надмолекулярных белковых структур в результате взаимодействия белковых частиц друг с другом или с молекулами некоторых других веществ понижает их биологическую доступность.
Скорость переваривания белков отдельными ферментами желудочно-кишечного тракта представляет интерес при разработке рационов питания для здорового и особенно для больного человека, а также при определении пищевой ценности отдельных продуктов.
Определение степени расщепления и усвояемости белкового компонента мяса, как правило, производят двумя методами: в опытах in vitro и in vivo. В опытах in vitro в системах пепсин — трипсин либо с использованием реснитчатой инфузории Tetra-chymena periformis в известной степени моделируется процесс переваривания белков в желудочно-кишечном тракте. Однако получить достоверное представление о биологической ценности белкового компонента и продукта можно лишь на основе опытов, проводимых на животных, и наблюдений за человеком, определяя степень фактической утилизации пищевых веществ в организме в процессе обмена веществ по характеру адсорбции белка и изменению ростовесовых показателей. На практике используют: коэффициент эффективности белка (КЭБ), биологическую ценность (БЦ), истинную переваримость (ИП), коэффициент использования белка (КИБ).
ИП характеризует главным образом способность белка распадаться под действием протеолитических ферментов пищеварительного тракта и всасываться через слизистую оболочку кишечника. БЦ учитывает ту часть азота, которая фактически используется, и зависит преимущественно от сбалансированности изучаемых белков по аминокислотному составу и от одновременности введения этих метаболитов в кровеносную систему. КИБ — это отношение связанного азота к азоту, поглощенному с пищей, т. е. суммарная оценка, принимаемая в расчет при оценке биологической ценности и переваримости, а КЭБ — отношение прироста массы к потребленному белку.
Биологические методы базируются на принципе азотного баланса в процессе жизнедеятельности организма. Поступивший в организм азот расходуется по двум направлениям. Первый после всасывания в пищеварительном тракте поступает в кровеносную систему (переваримый азот), удерживается организмом или ката- болизируется (используется как источник энергии) и выделяется с мочой, а второй — выбрасывается с фекалиями. Наконец, постоянное новообразование белков в организме из имеющихся происходит с потерей азота, которая не зависит от пищевого азота (эндокринный азот мочи). Исходя из азотных фракций, можно установить различные соотношения, позволяющие характеризовать превращения белков в организме.
Различия в усвояемости влияют на утилизацию белков, в связи с чем при расчете безопасных уровней потребления обычных смесей пищевых белков вводят поправки на усвояемость. Поскольку оценки безопасных уровней потребления основаны на данных, полученных при использования белков молока, яиц, мяса и рыбы, усвояемость других белкой выражают через усвояемость белков вышеперечисленных продуктов.
Для определения усвояемости белка тмеряют содержание азота в пище и кале в опытах in vivo. Предполагаемую (ПУ) и истинную (ИУ) усвояемости белка — азота (7) рассчп гыпаюг в соответствии с формулами (4.1) и (4.2):

Биологические методы достаточно объективны, но дороги в исполнении, требуют длительного времени и большого количества материалов для анализа. Химические методы в связи с этим имеют существенные преимущества. Наиболее известны подходы, основанные на определении аминокислотного состава, когда выделяют лимитирующие аминокислоты, а затем их сравнивают со стандартным белком. При этом подсчитывают сумму лимитирующих аминокислот и выражают ее в процентах от суммы всех аминокислот либо сравнивают соотношение незаменимых аминокислот с тем же показателем и «идеальном» белке. При этом, безусловно, учитывают соотношение всех незаменимых аминокислот.
В последнее время стали очень популярны ферментативные методы, поскольку они позволяют искусственно создать условия, максимально приближенные к условиям живою организма. Например. переваримость белков in vitro широко используется в аналитической практике.
Для определения соответствия аминокислотного состава белков потребностям человека предложен ряд индексов, каждый из которых дает лишь ограниченную оценку. Из них особое внимание заслуживает отношение суммы незаменимых аминокислот Н (мг) к общему содержанию белкового азота О (г). Чем ниже величина Н/О. тем выше содержание неспецифического азота. Для белков молока и яиц отношение Н/О составляет 3,1—3,25, для мяса — 2,79—2,94, для пшеницы — 2.
Более полное представление о биологической ценности белков дает показатель так называемого аминокислотного скора. Для каждой из незаменимых аминокислот лимитирующей качество белка является та, показатель аминокислотного скора которой является наименьшим.
Показатель аминокислотного скора устанавливает предел использования азота данного вида белка для пластических целей. Избыток других содержащихся в белке аминокислот может использоваться как источник для неспецифического азота или для энергетических нужд организма.
Количество углеводов в созревшем мясе составляет около 1,0—1,5 %. Их роль в основном связана с участием в биохимических процессах созревания мяса, формирования вкуса, аромата, изменения консистенции, величины pH, нежности и т. д., т. е. углеводы опосредованно влияют на качество мясных изделий и их биологическую ценность.
В соответствии с теорией адекватного питания часть балластных веществ пищи (клетчатка, пектин и др.), которые относят к пищевым волокнам, выполняет весьма важную физиологическую функцию. Благодаря специфическим функциональным свойствам пищевые волокна активно участвуют в регуляции биохимических процессов в органах пищеварения и выведении из организма токсических веществ, поступающих с водой, пищей и воздухом. Пищевые волокна могут использоваться для профилактики ряда заболеваний, в первую очередь таких, как атеросклероз, сахарный диабет, ожирение, ишемическая болезнь сердца, заболевания толстой кишки и др. В связи с необходимостью создания специальных продуктов питания вопрос применения балластных веществ типа пшеничных отрубей, яблочного пектина, целлюлозы, метилцеллюлозы, карбоксиметилцеллюлозы приобретает важное значение. Необходимо отметить, что функции пищевых волокон, кроме указанных веществ растительного происхождения, выполняют и соединительнотканные белки тканей животных.
Витамины, микро- и макроэлементы, а также вещества, стимулирующие секреторно-моторную деятельность пищеварительного тракта (экстрактивные вещества, ферменты), являются необходимой составной частью мяса, и поступление их с пищей — необходимое условие для нормального развития и функционирования организма.
В состав сырого мяса входит полный набор водорастворимых (В1, В2, РР, В6, пантотеновая кислота, биотин, фолиевая кислота, В12, С) и жирорастворимых (A, D, Е, К, F) витаминов, регулирующих рост и физиологические процессы. Однако при тепловой обработке часть витаминов теряется, а оставшееся количество не удовлетворяет потребностям организма. Недостающая часть витаминов обычно компенсируется высоким их содержанием в других компонентах рациона питания или путем целенаправленного обогащения мясных продуктов этими компонентами (витаминизацией).
Минеральные вещества мышечной ткани (соединения калия, натрия, магния, железа, цинка) участвуют во многих обменных процессах и в образовании буферных систем, влияют на степень растворимости и набухания белков, и, следовательно, наличие их также имеет значение при определении пищевой ценности продукта, причем наибольший интерес представляет содержание натрия, кальция и железа. Количество витаминов и минеральных веществ регламентируется формулой сбалансированного питания (см. табл. 4.1).
Азотистые экстрактивные и другие органические вещества участвуют в создании специфического аромата и вкуса мяса, способствуют улучшению органолептических показателей и тем самым стимулируют секреторную функцию пищеварительного аппарата. Влияние органолептических характеристик на пищевую ценность продукта состоит в том, что, воздействуя на органы чувств человека, они возбуждают аппетит и улучшают секреторно-моторную деятельность пищеварительного тракта, что во многом определяет покупательский спрос. Реакция человека на продукт зависит от внешнего вида, цвета, вкуса, запаха, консистенции (нежности) и сочности готового изделия, при этом результаты органолептической оценки зачастую бывают решающими при определении качества продукции, особенно новых видов. Органолептические показатели меняются в зависимости от природы продукта, его химического состава, степени биохимических изменений (например, созревания мяса), условий технологической обработки (измельчение, посол, варка, копчение и т. д.), использования специй, пищевых и вкусовых добавок.
Структурно-механические свойства (консистенция, жесткость, механическая прочность), обусловленные пространственным распределением белков, липидов и воды в продукте, формой и прочностью связей между ними, предопределяют органолептические показатели, характер и степень разрушения продукта в процессе разжевывания. В то же время этот фактор обеспечивает удельную поверхность контакта и физическую доступность частиц пищевых веществ действию ферментов, т. е. переваримость.
ОПРЕДЕЛЕНИЕ ПОКАЗАТЕЛЕЙ БИОЛОГИЧЕСКОЙ ЦЕННОСТИ
РАСЧЕТНЫМ МЕТОДОМ
Цель работы. Освоить методы определения биологической ценности мяса и мясных продуктов расчетным путем.
Задачи. Рассчитать скор незаменимых аминокислот в мясе, мясных или комбинированных продуктах; выявить лимитирующие аминокислоты, оценить среднюю величину избытка скора незаменимых аминокислот и рассчитать коэффициент утилитарности и показатель «сопоставимой избыточности».
Объекты исследования. Мясо различных видов животных, птицы, мясные продукты, субпродукты, колбасные изделия и консервы.
Оборудование. Микрокалькулятор.
Методические указания. В качестве исходных для расчетов используют экспериментально полученные данные при анализе состава аминокислот мясных продуктов или данные из справочной литературы (табл. 4.9).
Т а б л и ц а 4.9
Состав незаменимых аминокислот в некоторых видах мяса и мясных продуктах, г на 100 г белка
| Продукт | Валин | Изо-лейцин | Лейцин | Лизин | Мети онин | Тре онин | Трип тофан | Фенил аланин |
| Говядина (мышечная ткань) | 5.3 | 4,3 | 7,5 | 8.0 | 2,7 | 4,0 | 1,2 | 4.1 |
| Свинина (мышечная ткань) | 5.5 | 4,7 | 7.5 | 7.9 | 2,3 | 4,7 | 1.3 | 3,9 |
| Конина I категории | 5.1 | 4.0 | 7,6 | 8,9 | 2,4 | 4,7 | 1,4 | 4.3 |
| Куры I категории | 4.8 | 3,8 | 7.7 | 8.7 | 2,5 | 4.8 | 1,6 | 4.0 |
| Печень говяжья | 5.6 | 5,3 | 9.0 | 5,1 | 2,9 | 4,8 | 1,6 | 5,7 |
| Почки говяжьи | 5,5 | 2,9 | 6.8 | 8,3 | 1,5 | 1,8 | 1,3 | 3.8 |
| Рубец говяжий | 3,8 | 3.4 | 6,0 | 5,0 | 1,6 | 3,5 | 0,9 | 3,4 |
| Селезенка говяжья | 4.7 | 7,4 | 6,1 | 9,4 | 2,4 | 3,3 | 1,4 | 2.5 |
| Колбаса вареная докторская | 5,2 | 4,2 | 7,1 | 7.3 | 2,7 | 4,1 | 1,1 | 3,9 |
| Колбаса полукопченая минская | 6,9 | 4,9 | 7,2 | 7,2 | 2,7 | 3,5 | 1.0 | 2,9 |
| Колбаса сырокопченая сервелат | 5,5 | 4,5 | 7,6 | 8,4 | з,о | 4,2 | 1,5 | 3,9 |
| Яйцо куриное целое | 6,0 | 4,7 | 8,5 | 7,1 | 3,3 | 4,8 | 1,6 | 5,1 |
| Желатин пищевой | 2.0 | 1,3 | 2,7 | 4,3 | 0,1 | 1,4 | 0,1 | 1,7 |
Используя данные аминокислотного состава, студенты расчетным путем определяют показатели биологической ценности продуктов. Для сопоставления результатов расчет рекомендуется вести по нескольким объектам.
Подготовка к расчету. Студенты внимательно изучают перечень показателей биологической ценности и выписывают формулы для их определения.
Аминокислотный скор. Выписывают данные о содержании незаменимых аминокислот в исследуемых мясных продуктах и рекомендации ФАО/ВОЗ применительно к «идеальному» (стандартному) белку. Аминокислотный скор определяют по формуле

где АКпр — содержание незаменимой аминокислоты в 1 г исследуемого белка, мг; АКст — содержание той же аминокислоты в 1 г «идеального» (стандартного) белка, мг; 100 —коэффициент пересчета в проценты.
Лимитирующей биологическую ценность аминокислотой считается та, скор которой наименьший.
Коэффициент различия аминокислотного скора (КРАС, %). Показывает среднюю величину избытка аминокислотного скора незаменимых аминокислот по сравнению с наименьшим уровнем скора какой-либо незаменимой аминокислоты (избыточное количество незаменимых аминокислот, не используемых на пластические нужды):

где DРАС — различие аминокислотного скора аминокислоты;
DРАС=Сi+ Сmin,
здесь Сi —избыток скора аминокислоты; Сmin — минимальный из скоров незаменимых аминокислот исследуемого белка по отношению к эталону, %;
n — количество незаменимых аминокислот.
Биологическую ценность (БЦ) пищевого белка (%) определяют по формуле
БЦ= 100-КРАС
Коэффициент утилитарности аминокислотного состава имеет практическое значение, так как возможность утилизации аминокислот организмом предопределена минимальным скором одной из них.
Коэффициент утилитарности j-й незаменимой аминокислоты (доли единицы) рассчитывают по формуле
aj = Сmin / Сj,
где Cj — скор j-й незаменимой аминокислоты по отношению к физиологически необходимой норме (эталону), %;
Cj= (Aj/ Aэj) × 100,
здесь Aj— содержание j-й незаменимой аминокислоты в продукте, г/100 г белка; Aэj — содержание j-й незаменимой аминокислоты, соответствующее физиологически необходимой норме (эталону), г/100 г белка.
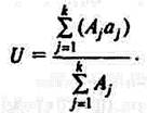
Коэффициент утилитарности j-й незаменимой аминокислоты используют для расчета коэффициента утилитарности аминокислотного состава (U), который является численной характеристикой, достаточно полно отражающей сбалансированность незаменимых аминокислот по отношению к эталону:

Меньшая возможность утилизации незаменимых аминокислот в составе белка пищевого продукта организмами наблюдается тогда, когда их скоры максимальны или наиболее близки к максимуму.
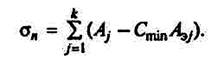
Общее количество незаменимых аминокислот в белке оцениваемого продукта, которое из-за взаимонесбалансированности по отношению к эталону не может быть утилизировано организмом, служит для оценки сбалансированности состава незаменимых аминокислот по показателю сопоставимой избыточности (г), который определяется по формуле
sс=sn/Cmin,

Результаты расчетов оформляют в виде таблицы следующей формы:
| Аминокислота | Содержание, мг | Скор, % | КРАС, % | БЦ, % | U | sc | ||
| в стандартном белке на 1 г белка | в исследуемом образце на 1 г белка | |||||||
| Изолейцин | ||||||||
| Лейцин | ||||||||
| Лизин | ||||||||
| Метионин + цистин | ||||||||
| Фенилаланин + тирозин | ||||||||
| Треонин | ||||||||
| Триптофан | ||||||||
| Валин | ||||||||
| Всего |






