Рассмотрим течение идеальной несжимаемой жидкости по трубке тока. Под действием сил давления
действующих внутри жидкостей, большой объем V, находящийся между сечениями 1 и 2 будет перемещаться и через малый промежуток времени займет положение между сечениями 1' и 2' (рис. 4.1 б). В условиях стационарного течения жидкости изменение энергии выделенного большого объема V будет связано только с изменением энергий, происходящих в малых объемах V 1 и V 2.
Изменение кинетической энергии этих объемов V 1 и V 2 определяется работой сил тяжести и сил давления, действующих на выделенные объемы со стороны соседних слоев жидкости. Причем работу совершают только силы давления
и
.
Учитывая незначительность объемов V 1 и V 2, можно записать:

Введем в это уравнение плотность жидкости (ρ = m 1/ V 1 = m 2/ V 2, m 1 = m 2, V1 = V2) и давление, оказываемое жидкостью на сечения 1 и 2' объемов V 1 и V 2 (p 1 = F 1/ S 1, p 2 = F 2/ S 2). После несложных преобразований получим:

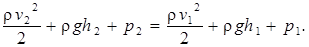
С учетом произвольности выбираемого объема и сечения в трубке тока окончательно можно записать следующее уравнение:
(4.2)
которое получило название уравнения Бернулли.
Отдельные слагаемые в уравнении Бернулли имеют размерность давления. Принято называть давление ρv 2/2– динамическим, ρgh – гидростатическим, давление р – статическим.
Уравнение Бернулли справедливо для любых точек внутри жидкости, расположенных вдоль определенной линии тока. При переходе от одной линии тока к дугой изменяются значения постоянной.






