Идеальная жидкость, т. е. жидкость без трения, является абстракцией. Всем реальным жидкостям и газам в большей или меньшей степени присуща вязкость или внутреннее трение. Вязкость проявляется в том, что возникающее в жидкости или газе движение после прекращения действия причин, его вызвавших, постепенно прекращается.
|
Рассмотрим следующий опыт. В жидкость погружаются две параллельные друг другу пластины (рис. 4.2) на расстоянии d друг от друга. Нижняя пластина удерживается на месте, верхняя приводится в движение относительно нижней с некоторой скоростью v 0. Для перемещения верхней пластины со скоростью v 0 на нее необходимо действовать с постоянной силой
Раз пластина не получает ускорения, значит, действие этой силы уравновешивается равной ей по величине противоположно направленной силой трения 
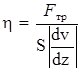
Изменяя скорость v 0 , площадь пластин S, расстояние между ними d, можно получить, что
(4.3)
где η – коэффициент пропорциональности, зависящий от природы и состояния жидкости и называемый коэффициентом внутреннего трения или коэффициентом вязкости, или просто вязкостью жидкости (газа).
|
|
|
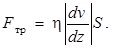
При движении верхней пластины на нижнюю будет действовать сила
Чтобы нижняя пластина была неподвижна, силу
необходимо уравновешивать с помощью силы
.
Таким образом, при движении двух погруженных в жидкость пластин, между ними возникает взаимодействие, характеризуемое силой (4.3). Это взаимодействие осуществляется через жидкость, расположенную между пластинами, передаваясь от одного слоя к другому.
Если в любом месте зазора жидкости провести мысленно плоскость, параллельную пластинам, то можно утверждать, что часть жидкости, лежащая над этой плоскостью, действует с силой
, а часть жидкости, лежащей под плоскостью, в свою очередь действует на часть жидкости, лежащей над плоскостью с силой
причем значения
и
определяются формулой (4,3).
Таким образом, можно утверждать, что формула (4.3) определяет не только силу трения, действующую на пластины, но силу трения между соприкасающимися частями жидкости.
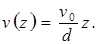
Если исследовать скорость частиц жидкости в разных слоях, то оказывается, что она изменяется в направлении z, перпендикулярно к пластинам (рис. 4.2) по линейному закону
(4.4)
Частицы жидкости, непосредственно соприкасающиеся с пластинами, как бы прилипают к ним и имеют такую же скорость, как и сами пластины. Согласно (4.4) v/z = v0/d и
. (4.5)
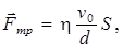
Используя (4.5), формуле (4.3) можно придать вид
(4.6)
- коэффициент вязкости. Он зависит от температуры. Но характер зависимости различен для жидкостей и газов. У жидкостей η сильно уменьшается с повышением температуры. У газов, напротив, коэффициент вязкости с температурой растет. Отличие в характере поведения η при изменениях температуры указывает на различие механизма внутреннего трения в жидкостях и газах.
|
|
|