Наблюдается два вида течения жидкости (или газа). В одних случаях жидкость как бы разделяется на слои, которые скользят друг относительно друга, не перемешиваясь. Такое течение называют ламинарным (слоистым). Если в ламинарный поток ввести подкрашенную струйку, то она сохраняется, не размываясь, по всей длине потока. Частицы жидкости в ламинарном потоке практически не переходят из одного слоя в другой. Ламинарное течение – стационарно.
При увеличении скорости или поперечных размеров потока характер движения существенным образом изменяется. Возникает энергичное перемешивание жидкости. Такое течение называют турбулентным. При турбулентном течении скорость частиц в каждом данном месте все время изменяется беспорядочным образом. Если в такой поток ввести окрашенную струйку, то уже на небольшом расстоянии она равномерно распределится по всему сечению потока.
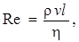
Английский ученый Рейнольдс установил, что характер течения зависит от значения безразмерной величины:

где ρ – плотность жидкости (или газа), v – средняя (по сечению трубы) скорость потока, η – коэффициент вязкости, l – характерный для поперечного сечения размер, например, сторона квадрата, радиус или диаметр трубы при круглом сечении и т. д, Re– число Рейнольдса. При малых значениях Reнаблюдается ламинарное течение. Начиная с некоторого определенного значения Re, называемого критическим, течение приобретает турбулентный характер. Если для круглой трубы в качестве l взять радиус, то критическое значение числа Рейнольдса оказывается примерно равным 1000.
|
|
|
Характер течения разных жидкости в трубах разных сечений будит одинаков, если каждому сечению соответствует одно и то же значение Re.
.