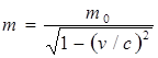
Уравнения Ньютона инвариантны по отношению к преобразованиям Галилея. Однако по отношению к преобразованиям Лоренца они оказываются не инвариантными, так как при больших скоростях движения масса тел зависит от скорости. Используя постулаты Эйнштейна и преобразования Лоренца, можно показать, что
, (5.4)
|
Следовательно, релятивистские выражения импульса и основного уравнения динамики поступательного движения имеют вид:
(5.5)
(5.6)






