Все физические явления протекают одинаково во всех ИСО;
Все законы физики выглядят, записываются одинаково во всех ИСО;
Никакими физическими опытами, находясь внутри ИСО, нельзя установить, движется она равномерно и прямолинейно или покоится;
4) все законы физики инвариантны относительно преобразований Лоренца.
Согласно второму постулату специальной теории относительности скорость света в вакууме одинакова во всех ИСО и не зависит от движения источника и приемника света.
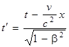
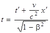
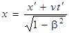
С помощью постулатов Эйнштейна можно показать, что координаты и время в разных системах отсчета связаны следующими соотношениями:
Переход из К ' в К: Переход из К в К ':

y = y' y' = y
z = z' z' = z
,
где β= v/c – относительная скорость. Записанные соотношения называют преобразованиями Лоренца. Преобразования Лоренца – это более общие, по отношению к преобразованиям Галилея, преобразования. Преобразования Лоренца справедливы для любых скоростей движения, а преобразования Галилея только для малых (v<< c).
Лекция 5
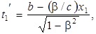
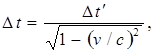
Одновременность событий в разных системах отсчета. Пусть в системе К в точках с координатами х 1 и х 2 происходят одновременно два события в момент времени t 1 = t 2 = b. В соответствии с преобразованиями Лоренца в системе К' этим событиям будут соответствовать моменты времени
.
Из данных формул видно, что в случае, если события в системе К пространственно разобщены (х 1 ≠ х 2), то в системе К' они не будут одновременными (t 1' ≠ t 2'). Знак разности t 2' – t 1' определяется знаком выражения (β / c)(x 1 – x 2); следовательно, в разных системах К' (при разных β) разность t 2' – t 1' будет различна по величине и может отличаться по знаку. Это означает, что в одних системах событие 1 будет предшествовать событию 2, в других системах, наоборот, событие 2 будет предшествовать событию 1. Заметим, что сказанное относится лишь к событиям, между которыми отсутствует причинная связь.
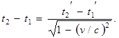
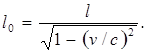
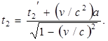
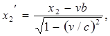
Продолжительность явления. Пусть в одной и той же точке с координатой х ' = а системы К' происходит явление, которое начнется в момент времени t 1' и закончится в момент времени t 2'. Согласно преобразований Лоренца этим событиям соответствуют в системе К моменты времени
Отсюда

Введя обозначение t2 – t1 = ∆t и t 2' – t 1' = ∆t', получим формулу
(5.1)
которая связывает промежутки времени между двумя событиями, измеренные в системах К и К'. Допустим, что оба события происходят с одной и той же частицей, которая покоится в системе К' и движется относительно системы К со скоростью v. Тогда ∆ t 'можно трактовать как промежуток времени, измеренный по часам, неподвижным относительно частицы, или, иными словами, измеренный по часам, движущимся вместе с частицей. Время, отсчитанное по часам, движущимся вместе с телом, называется собственное время этого тела и обозначается буквой τ. Таким образом, ∆ t ' = τ. С учетом этого формуле (5.1) можно придать вид
(5.2)
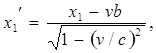
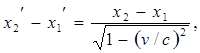
Длина тел в разных системах. Рассмотрим стержень, расположенный вдоль оси х 'и покоящийся относительно системы отсчета К' (рис. 5.1). Длина его в этой системе l 0 = x 2'- x 1', где х 1' и х 2' – не изменяющиеся со временем t ' координаты концов стержня. Относительно системы К стержень движется со скоростью v. Для определения его длины в этой системе нужно отметить координаты концов стержня х 1 и х 2 в один и тот же момент времени t 1= t 2 = b. Их разность l = x 2 – x 1 дает длину стержня, измеренную в системе К. Чтобы найти соотношения между l 0 и l, следует взять ту из формул преобразований Лоренца, которая содержит х ', х и t.
|
откуда
или
(5.3)
Таким образом, длина стержня l, измеренная в системе отсчета, относительно которой он движется, оказывается меньше длины l 0, измеренной в системе, относительно которой стержень покоится.
Заметим, что в направлении осей y и z размеры стержня одинаковы во всех системах отсчета. Итак, у движущихся тел размеры их в направлении движения сокращаются тем больше, чем больше скорость движения. Это явление называют л оренцевым сокращением.