Пусть вдоль совпадающих осей Ох и О'х' систем отсчета К и К' в их положительном направлении с постоянной скоростью движется тело. Проекция вектора скорости тела на координатные оси в СОК и К' соответственно равны:
СОК': u ' = u 'x = dx '/ dt ', u 'y = 0, u 'z = 0;
СОК: u = u x = dx / dt, u y = 0, u z = 0.
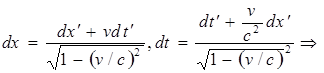
Необходимо найти формулы связи между u и u '; в данном случае между u x и u 'x. Для этого в преобразованиях Лоренца возьмем бесконечно малые приращения координат и времени:


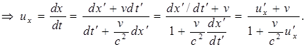
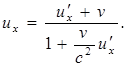
Итак,
(5.4)
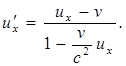
Аналогично можно получить обратную формулу связи
(5.5)
Формулы (5.4) и (5.5) представляют собой закон сложения скоростей в релятивистской механике. При малых скоростях движения тел (v<< c) эти формулы переходят в закон сложения скоростей классической механики.
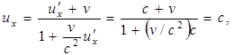
Из закона сложения скоростей следует, что скорость движения тел не может быть больше скорости света в вакууме. Приведем в подтверждение этому факту пример.
Пусть световой сигнал в СОК' распространяется вдоль оси О'х', т. е. u' х = с. Тогда согласно формуле (5.4)

Что и должно было получиться.






