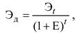
Главный недостаток простых методов оценки эффективности проектов заключается в игнорировании факта неравноценности одинаковых сумм поступлений или платежей, относящихся к разным периодам времени. Учет этого фактора имеет большое значение для объективной оценки проектов, связанных с долгосрочным вложением капитала. Проблема эффективности вложения капитала заключается в определении того, насколько будущие поступления оправдывают сегодняшние затраты. Методы оценки финансово-экономической эффективности инвестиционного проекта с учетом фактора времени предполагают приведение расходов и доходов, разнесенных во времени, к базовому моменту времени, например к дате начала реализации проекта. Процедура приведения разновременных денежных потоков к базовому периоду называется дисконтированием, а получаемая оценка - дисконтированной стоимостью денежного потока. Расчет коэффициентов приведения производится на основании ставки или нормы дисконта Е. Смысл этого показателя заключается в оценке снижения стоимости денежных ресурсов с течением времени. В общем случае норма дисконта изменяется по годам расчетного периода. Соответственно значения коэффициентов пересчета стоимости всегда должны быть меньше единицы. Например, дисконтированный поток платежей можно выразить формулой
![]() |
(8.7)
где Эt - поток платежей в году t; Эд - дисконтированная величина потока платежей Эt; t - порядковый номер расчетного шага; Е - норма дисконта. Пример. Инвестируем 1 млн тенге. под 10 % годовых. В соответствии с этими условиями через год получаем на 100 тыс. тенге. больше, т.е. 1,1 млн тенге. Для расчета получаемой суммы используется формула простых процентов:
через 1 год капитал составит: 1·106(1 + 0,1) = 1,1 млн тенге.;
через 1 год капитал составит: 1·106(1 + 0,1)(1 + 0,1)=1·106(1 + 0,1)2 тенге.
Поскольку эти денежные средства через два года представляют стоимость сегодняшнего 1 млн тенге., то текущая, или дисконтированная, стоимость 1 млн тенге., полученная через два года, составит:
(8.8)
