Индекс рентабельности (ИД) проекта представляет собой отношение приведенных доходов к приведенным (на ту же дату) расходам по реализации проекта. Он отражает доход в расчете на единицу инвестиций. Проект можно принять, если индекс рентабельности превышает единицу; проект отвергается, если индекс доходности меньше единицы. Чем выше индекс рентабельности, тем удачнее проект. Индекс доходности - это показатель, сходный по своей экономической сущности с чистым дисконтированным доходом, но в отличие от него являющийся относительным показателем. Благодаря этому он очень удобен при выборе одного проекта из ряда альтернативных, имеющих примерно одинаковые значения ЧДД. Индекс рентабельности рассчитывается по формуле
![]() |
(8.12)
Пример. Пусть в течение трех лет осуществляется строительство производственного объекта, общая стоимость которого составит 5 млн тенге. Производство продукции начинается сразу после строительства и прекращается через восемь лет. Исходные данные для расчета ЧДД представлены в табл. 8.1.
|
|
|

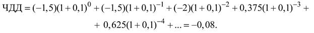
Расчет ЧДД при норме дисконта, равной 10 %:

В данный проект нецелесообразно вкладывать деньги при ставке процента равной 10 %.
Чистый дисконтированный доход зависит от нормы дисконтирования. При отсутствии дисконтирования ЧДД будет максимальным, постепенно снижаясь по мере увеличения нормы дисконтирования.







