Виды разрушений червячных колес.
В червячной паре слабым звеном является зуб червячного колеса. Могут происходить поверхностные повреждения: усталостное выкрашивание, износ поверхности, заедание. Крайне редко возникает поломка зуба. Зубчатые венцы чаще всего изготовляют из бронзы, выбор марки зависит от скорости скольжения в передаче.
В передачах с венцами колес из оловянных бронз наиболее опасно выкрашивание рабочих поверхностей, в колесах из безоловянистых (алюминиево-железистых) бронз и чугунов чаще происходит заедание, переходящее в задир с изнашиванием поверхности.
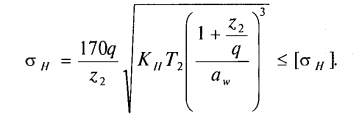
Расчет по контактным напряжениям является основным (проектиро-вочным), а по напряжениям изгиба – проверочным.
В основу расчета по контактным напряжениям положена формула Герца. После подстановки параметров червячного колеса, коэффициентов, учитываю-щих характер нагрузки, и соответствующих преобразований получена формула для проверочного расчета передачи:

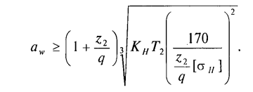
Выразив из полученной формулы межосевое расстояние, получим формулу для проектировочного расчета червячной передачи:

При расчете задаются ориентировочными значениями КПД редуктора, скорости скольжения в передаче, определяют вращающие моменты. По принятой величине скорости скольжения выбирают материал венца колеса и определяют допускаемое напряжение. По заданному передаточному числу определяют число заходов червяка и число зубьев колеса.
Полученное при расчете
округляют.
По рассчитанному межосевому расстоянию определяют геометрические параметры передачи и уточняют их по стандартам.
Определяют усилия в зацеплении. Проводят проверку полученной передачи на изгиб.
Формула для проверочного расчета передачи на изгиб

где:
- коэффициент нагрузки;
- коэффициент формы зуба, выбирается по приведенному числу зубьев
.
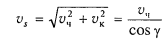
Скорость скольжения в передаче
.






