Математические модели в науке как средство работы с информацией
Невозможно представить себе современную науку без широкого применения математического моделирования, суть которого состоит в замене исходного объекта его образом – математической моделью и дальнейшем изучении модели с помощью реализуемых на компьютерах вычислительно-логических алгоритмов. Этот метод сочетает в себе достоинства, как теории, так и эксперимента, поскольку работа не с самим объектом (явлением, процессом), а с его моделью дает возможность относительно быстро и без существенных затрат исследовать его свойства и поведение в различных ситуациях. В то же время вычислительные эксперименты с моделями объектов позволяют, опираясь на мощь современных вычислительных методов и технических средств информатики, подробно и глубоко изучать объекты в достаточной полноте, недоступной чисто теоретическим подходам.
Вышесказанное является актуальным в условиях постоянного роста требований к эффективности устройств, применяемых в системах передачи и обработки информации, к сокращению сроков исследования и разработки новых телекоммуникационных систем и сетей.
|
|
|
Моделирование можно рассматривать как замещение исследуемого объекта (оригинала) его условным образом, описанием или другим объектом, именуемым моделью и обеспечивающим близкое к оригиналу поведение в рамках некоторых допущений и приемлемых погрешностей. Моделирование обычно выполняется с целью познания свойств оригинала путем исследования его модели, а не самого объекта. Разумеется, моделирование оправдано в том случае когда оно проще создания самого оригинала или когда последний по каким-то причинам лучше вообще не создавать.
МОДЕЛЬ ("модель" от лат. "modelus", что означает "мера") - мысленно представимая или материально реализованная система, которая, отражая и воспроизводя объект исследования, способна замещать его при определенных условиях так, что изучение ее дает новую информацию об этом объекте. М. в самом широком смысле - это любой мысленный или знаковый образ моделируемого объекта (оригинала).
Таким образом, под моделью мы будем понимать совокупность объектов (понятий, свойств, признаков, знаков, геометрических элементов, материальных предметов) и отношений между ними (называемых моделирующими), которые выражают существенные с точки зрения цели моделирования стороны изучаемого объекта, явления или процесса. Короче, модель - это некоторое упрощённое подобие реального объекта, процесса или явления.
М. строится для достижения определенной цели, однако для одного и того же объекта можно построить, преследуя одну и ту же цель, разные модели. Поэтому можно считать, что М. некоторого объекта А (оригинала, прототипа) – это объект В, в каком-то отношении подобный (аналогичный) оригиналу А, но отличающийся от него, выбранный или построенный, по крайней мере, для одной из следующих целей:
|
|
|
1) замена оригинала А моделью B в некотором реальном или воображаемом действии, исходя из того, что В более удобна для осуществления этого действия в данных условиях (т.н. называемая модель-заместитель);
2) создание наглядного представления об объекте А (реально существующем или воображаемом) с помощью объекта В (т.н. называемая модель-представление);
3) истолкование (интерпретация) объекта А в виде модели В (т.н. называемая модель-интерпретация);
4) исследование (изучение) объекта А посредством изучения объекта В (т.н. называемая исследовательская модель).
Пример.1. В курсе математики представлены все перечисленные виды моделей. Так, уравнение, составленное по условию текстовой задачи, выступает как модель-заместитель исходной задачи; чертеж некоторого геометрического объекта, построенный для доказательства утверждения, в котором идет речь в этом утверждении, является моделью-представлением рассматриваемого объекта; уравнение (x – a)2 + (y – b)2 = R 2 является моделью-интерпретацией окружности.
М. обычно обладает не одним каким-либо признаком, соответствующим одной из указанных целей, а несколькими, и поэтому она пригодна, как правило, и для других целей. Например, модель-заместитель может использоваться и как модель-представление, и как модель-интерпретация, и как исследовательская модель. Так, модель-интерпретация окружности вполне пригодна для исследования свойств окружности, а, значит, она является и моделью исследовательской.
По способу построения модели бывают материальные и идеальные. В качестве материальных моделей могут выступать копии оригинала (уменьшенные или увеличенные), причем они могут быть динамические и статические; в качестве идеальных - изображения, описания, схемы, чертежи, графики, уравнения, планы, карты, компьютерные программы и т.д.
Пример 2. В медицине многие лекарственные препараты, разрабатываемые для лечения людей, первоначально испытывают на животных, которые в этом случае и выступают в качестве модели человека; моделью некоторой местности может служить географическая карта, пользуясь которой, мы получаем нужную нам информацию об этой местности; моделью прямолинейного равномерного движения служит уравнение s = v 0 +vt, исследование которого дает возможность устанавливать основные закономерности данного вида движения; моделью некоторого предмета, явления, процесса или ситуации (как реальных, так и «виртуальных») могут служить компьютерные программы, предоставляющие в распоряжение исследователя практически неограниченные возможности для их изучения и прогнозирования развития; и т.п.
М. всегда является лишь отображением оригинала, и она в каком-либо отношении должна быть не только удобна для изучения свойств исследуемого объекта, но и позволяет перенести полученные при этом знания на исходный объект. Например, когда в начальных школе учитель намеревается более наглядно продемонстрировать способ сложения натуральных чисел, то он использует для этого различные модели этих чисел: реальные предметы или их изображения, абак, русские счеты, и др. Многие детские игрушки, представляющие собой модели реальных объектов (автомобилей, поездов, животных и т.п.), позволяют ребенку познавать определенные свойства окружающих его предметов.
|
|
|
М. строится с тем расчетом, чтобы охватить только те свойства оригинала, которые существенны в данной ситуации и являются объектом изучения. Например, существует разнообразные модели обучения математике; одни из них позволяют исследовать степень усвоения материала, другие – познавательную активность, третьи - творческую математическую деятельность, и т.д. Для изучения поведения проектируемого самолета в воздухе строят уменьшенную во много раз его модель и помещают ее в аэродинамическую трубу. Затем по поведению этой модели в различных воздушных потоках, создаваемых в трубе, судят о том, как будет вести себя в полете настоящий самолет.
М., полностью воспроизводящая оригинал, перестает быть моделью.
Существует ряд общих требований к моделям:
1. Адекватность – достаточно точное отображение свойств объекта;
2. Полнота – предоставление получателю всей необходимой информации об объекте;
3. Гибкость – возможность воспроизведения различных ситуаций во всем диапазоне изменения условий и параметров;
4. Трудоемкость разработки должна быть приемлемой для имеющегося времени и программных средств.
Моделирование – это процесс построения модели объекта и исследования его свойств путем исследования модели.
Таким образом, моделирование предполагает 2 основных этапа:
1. Разработка модели;
2. Исследование модели и получение выводов.
При этом на каждом из этапов решаются разные задачи и используются отличающиеся по сути методы и средства.
Метод моделирования во многих науках является средством, позволяющим устанавливать более глубокие и сложные взаимосвязи между теорией и опытом и способным заменить эксперимент.
Целый ряд исследований вообще невозможен без моделирования, потому, что:
а) эксперименты могут проводиться лишь на ныне существующих объектах, т.к. невозможно распространить эксперимент в область прошлого;
б) вмешательство в некоторые системы иногда имеет такой характер, что невозможно установить причины появившихся изменений (вследствие вмешательства или по другим причинам);
|
|
|
в) некоторые теоретически возможные эксперименты неосуществимы вследствие низкого уровня развития экспериментальной техники или ее высокой стоимости;
г) большую группу экспериментов, связанных с человеком, следует отклонить по морально-этическим соображениям.
Однако М. находит широкое применение не только из-за того, что может заменить эксперимент.
Оно имеет большое самостоятельное значение и свои преимущества:
1. С помощью метода моделирования на одном комплексе данных можно разработать целый ряд различных моделей, по-разному интерпретировать исследуемое явление, и выбрать наиболее плодотворную из них для теоретического истолкования.
2. В процессе построения модели можно сделать различные дополнения к исследуемой гипотезе и получить ее упрощение.
3. В случае сложных моделей можно применять компьютерную технику.
4. Существует возможность проведения модельных экспериментов. И др.
На практике применяют различные методы моделирования. В зависимости от способа реализации, все модели можно разделить на два больших класса: физические и математические.
Математическое моделирование принято рассматривать как средство исследования процессов или явлений с помощью их математических моделей.
Под физическим моделированием понимается исследование объектов и явлений на физических моделях, когда изучаемый процесс воспроизводят с сохранением его физической природы или используют другое физическое явление, аналогичное изучаемому. При этом физические модели предполагают, как правило, реальное воплощение тех физических свойств оригинала, которые являются существенными в конкретной ситуации. Например, при проектировании нового самолета создается его макет, обладающий теми же аэродинамическими свойствами; при планировании застройки архитекторы изготавливают макет, отражающий пространственное расположение ее элементов. В связи с этим физическое моделирование называют также макетированием.
Полунатурное моделирование представляет собой исследование управляемых систем на моделирующих комплексах с включением в состав модели реальной аппаратуры. Наряду с реальной аппаратурой в замкнутую модель входят имитаторы воздействий и помех, математические модели внешней среды и процессов, для которых неизвестно достаточно точное математическое описание. Включение реальной аппаратуры или реальных систем в контур моделирования сложных процессов позволяет уменьшить априорную неопределенность и исследовать процессы, для которых нет точного математического описания. С помощью полунатурного моделирования исследования выполняются с учетом малых постоянных времени и нелинейностей, присущих реальной аппаратуре. При исследовании моделей с включением реальной аппаратуры используется понятие динамического моделирования, при исследовании сложных систем и явлений - эволюционного, имитационного и кибернетического моделирования.
Очевидно, действительная польза от моделирования может быть получена только при соблюдении двух условий:
1. Модель обеспечивает корректное (адекватное) отображение свойств оригинала, существенных с точки зрения исследуемой операции;
2. Модель позволяет устранить перечисленные выше проблемы, присущие проведению исследований на реальных объектах
МАТЕМАТИЧЕСКАЯ МОДЕЛЬ – приближенное описание какого-либо явления внешнего мира, выраженное с помощью математической символики. Математические модели описываются с помощью средств самой математики: языка, понятий, отношений, теорий. В отличие от естественнонаучных и гуманитарных дисциплин М.м. обычно не требует создания материализованных объектов. Кроме того, если все другие науки изучают модели, то математика изучает «модели моделей». Потому ее материал в наилучшей степени соответствует задаче овладения методом моделирования.
Примером М.м. достаточно сложного оригинала служит система уравнений (и неравенств) в самом широком понимании. Система может содержать обыкновенные дифференциальные уравнения, уравнения в частных производных, интегральные уравнения, алгебраические и трансцендентные уравнения (и неравенства), набор вероятностно-статистических данных и т.д. К математическим моделям относят и программы, составленные для компьютеров, которые моделирую (отражают) определенные процессы, описанные средствами математики, положенными в основу алгоритмов.
Пример 3. Развитие ЭВМ и методологии системного анализа дало возможность для изучения широкомасштабных социальных процессов. Возникло так называемое глобальное моделирование и на его основе - прогнозирование мировых социальных явлений.
Основоположником и «идейным отцом» такого рода исследований считается Дж. Форрестер. В своей работе “Мировая динамика” (1971 г.) он сделал успешную попытку использовать математические методы и ЭВМ для создания варианта модели экономического развития общества с учетом двух важнейших факторов - численности населения и загрязнения окружающей среды. Расчеты показали, что при сохранении тенденций развития общества неизбежен серьезный кризис во взаимодействии человека и окружающей среды. Этот кризис объясняется противоречием между ограниченностью земных ресурсов, конечностью пригодных для сельскохозяйственной обработки площадей и все растущими темпами потребления увеличивающегося населения. Рост населения, промышленного и сельскохозяйственного производства приводит к кризису: быстрому загрязнению окружающей среды, истощению природных ресурсов, упадку производства и повышению смертности. На основании анализа этих результатов делается вывод о необходимости стабилизации промышленного роста и материального потребления.
В 80-х годах XX века появляются оригинальные работы в области глобального моделирования в Советском Союзе. Группой ученых под руководством академика Н.Н. Моисеева в Вычислительном Центре АН СССР была сделана попытка проанализировать математическими методами структуру международной конфликтной ситуации. Основной вывод, который следовал из анализа составленной модели, состоял в следующем. Несмотря на сложную зависимость целевой функции, общей для всех партнеров (функции риска ядерной войны), в действиях участников конфликта, в такой сверхсложной и сверхопасной ситуации, какой является гонка ядерных вооружений, существует взаимовыгодный и эффективный компромисс.
М.м. отдельного элемента относительно проще - она может оказаться геометрическим образом, функцией или ее графиком, вектором, матрицей, числовой таблицей, скалярной величиной или даже конкретным числом.
Построение модели, адекватно отражающей объект, - дело непростое и требует специальных знаний и хорошей математической подготовки.
МЕТОД МАТЕМАТИЧЕСКОГО МОДЕЛИРОВАНИЯ сводит исследование внешнего мира к математическим задачам.
Процесс математического моделирования состоит из четырех этапов:
1) формализации, т. е. перехода от реальной практической задачи (исследуемой ситуации) к построению адекватной математической модели и формулировки на ее основе абстрактной математической задачи;
2) решения задачи путем преобразования модели (проведение математического исследования), т.е. получение в результате анализа и исследования модели выходных данных (теоретических сведений);
3) интерпретации полученного результата, когда решение формальной математической задачи исследуется на предмет его соответствия с исходной ситуацией, истолковывается в терминах исходной ситуации и применяется к ней;
4) модернизации модели, т.е. построение новой более совершенной модели в связи с накоплением данных об изучаемом объекте или процессе.
Пример 4. Разработка модели Солнечной системы. Наблюдения звездного неба, начавшиеся еще в глубокой древности, привели к тому, что из всего многообразия небесных светил были выделены планеты, которые и стали объектом изучения. Следующим шагом явилось изучение закономерностей их движений, т.е. построение моделей и получение конкретных результатов. Модели Солнечной системы в процессе своего развития прошли через ряд усовершенствований по мере накопления экспериментальных данных и развития науки. Первой была модель Птолемея, созданная во II веке нашей эры, исходила из положения, что планеты и Солнце совершают движения вокруг Земли (т.н. геоцентрическая модель).
В XVI веке появилась модель Н. Коперника, принципиально отличающаяся от предыдущей, полагающая, что планеты вращаются вокруг Солнца по окружности (т.н. гелиоцентрическая модель). Затем появилась модели И. Кеплера (начало XVII века), И. Ньютона (вторая половина XVII века), описывающие движения планет на математическом языке. Модель Ньютона, основанная на законе всемирного тяготения, вполне удовлетворительно описывала движение известных планет и давала возможность вычислять их положение на небосводе.
Но вот к 40-м годам XIX в. некоторые результаты этой модели стали тоже не согласовываться с экспериментальными данными: наблюдаемое движение Урана уклонялось от теоретически вычисляемого движения. Французский ученый-астроном У. Леверье расширил систему наблюдаемых планет новой гипотетической планетой (он назвал ее Нептуном) и, пользуясь новой математической моделью, определил все основные параметры этой планеты. В указанное время и на предсказанном им месте в 1846 году астрономы убедились в реальном существовании еще одной планеты Солнечной системы. Подобные вычисления, сделанные П. Лоуэлом, привели в 1930 году к открытию девятой планеты, получившей название Плутон.
В ходе многовекового исторического развития математики сконструированы особые модели количественных отношений и пространственных форм окружающего мира. Это такие математические понятия, как число, функция, уравнение, геометрическая фигура и др. Хотя математическая модель и создается человеческим разумом, в дальнейшем она во многих случаях становится предметом объективного изучения. Познавая ее свойства, мы тем самым познаем и свойства отраженной моделью реальностей, т.е. абстрактные математические открытия обнаруживают ранее неизвестные свойства окружающего мира.
Например, представление, что числа бывают только, скажем, до миллиарда (а дальше чисел нет!) прямым наблюдением вряд ли может быть опровергнуто. Только создание математиками древности такого понятия натурального числа (такой модели), при котором натуральных чисел оказывалось бесконечно много, позволяет это сделать. С помощью модели геометрии Лобачевского человечество пришло к пониманию искривленности пространства, абстрактные функциональные зависимости дают возможность предсказывать развитие тех или иных процессов, модели геометрических тел позволяют на практике определять количественные характеристики окружающих нас предметов и т.д.
Для исследования существующих и построения новых моделей в математике разработаны специальные методы. Среди них методы теории графов, теории вероятностей и математической статистики, математической логики и комбинаторики, аксиоматический метод, методы исследования элементарных функций, решения уравнений, доказательства утверждений, построения геометрических фигур, измерения величин и т.д. Так, идеи метода моделирования находят свое применение при решении текстовых задач: во-первых, само понятие текстовой задачи можно ввести, пользуясь понятием «модель», во-вторых, понятия модели позволяет строго определить понятия «метода решения» и «способа решения» текстовой задачи.
В математике разработаны и особые методики использования на практике математических моделей, например, приемы решения задач с помощью уравнений и систем уравнений, изучение различных явлений и процессов с помощью исследования соответствующих функций, графов, геометрических фигур и т.д.
Пример 5. Общеизвестно, что, разрезая конус плоскостями, не проходящими через его вершину, мы получаем в сечении различные кривые: окружности, эллипсы, параболы, гиперболы (рис. 4.7). Их называют коническими сечениями. Еще древнегреческие ученые начали заниматься изучением этих кривых, т.к. они встречаются в различных явлениях природы и в человеческой деятельности (в астрономии, в военном деле, в физики и т.п.). Однако лишь, когда появились уравнения конических сечений, полученные методом координат, изучение этих кривых значительно продвинулось вперед, и были решены многие задачи, связанные с ними. Так, И. Кеплер (1609 г.) открыл из наблюдений, а И. Ньютон (1687 г.) теоретически обосновал, что планеты и кометы Солнечной системы движутся по этим кривым.
Заметим, что уравнения x 2 + y 2 = r 2,
, y = kx 2 и
выступают в качестве моделей окружности, эллипса, параболы и гиперболы, соответственно, а эти кривые в свою очередь можно рассматривать как геометрические модели указанных уравнений.
![]() | |||
![]() | |||
Рис. 4.7
ЗНАКОВЫЕ МОДЕЛИ. Большую роль в современной науке (т.е. не только в математике) играют знаковые модели. Они позволяют в виде выражений, формул, уравнений и т.п. отображать различные процессы и существенные отношения между изучаемыми предметами и явлениями, с помощью термина (слова) или знака - вводить новое понятие. Например, выражение a + b служит моделью суммы двух чисел; формула m =2 k, где k Î N, задает четные натуральные числа; уравнения Zn – 2e = Zn2+ и 2H+ + 2e = H2 описывают реакции с отдачей и приемом электронов. Каждому образованному человеку не составляет труда понять, что выражают формулы H2O, H2SO4, E = mc 2, a 2 + b 2 = c 2, S = a·b, и знаки «=», «+», «sin», «+», «g», «
», «e», «p» соответственно в химии, физике и математике.
Часто одна и та же знаковая модель описывает различные объекты или процессы. Например, знаковая модель «A» может отображать точку, множество, высказывание, объект; модель «y = k·x» - зависимость между ценой, стоимостью и количеством товара; или между работой, производительностью труда и временем выполнения работы и др. С другой стороны, один и тот же процесс можно описать разными моделями. Например, реакцию взаимодействия цинка с уксусной кислотой в молекулярном виде задают уравнением Zn + 2CH3COOH = Zn(CH3COO)2 + H2, в молекулярно-ионном – уравнением Zn+2CH3COOH = Zn2+ + 2CH3COO– + H2.
З.м. понятия «число». Понятие числа является одним из важнейших в математике и центральным понятием курса математики в начальной. Появившись в простейшем виде еще в первобытном обществе из потребностей счета, понятие числа совершенствовалось на протяжении всего последующего развития человеческой цивилизации. В вузе студенты, в силу выбранной профессии, изучают большинство известных числовых множеств, и они знают, что развитие понятия числа происходило под влиянием двух факторов: практической деятельности человека и внутренних потребностей математики. В процессе обучения у них формируется представление о том, что бывают порядковые числа, количественные числа, числа как меры величин и числа как компонент вычислений.
Однако многие из них не видят разницы между понятием числа и его названием (записью), для большинства из них эти понятия тождественны. На вопрос: «Какие числа называются натуральными?», - обычно следует ошибочный ответ: «1, 2, 3 и т.д. – это натуральные числа». Ответ неправильный, потому что студенты в данной ситуации подменяют само понятие его обозначением: 1, 2, 3 и т.д. – это не натуральные числа, а их обозначения, их символы, их знаковые модели. Понятие числа, возникшее как математическая модель операции пересчета предметов, само становится основой для построения новых математических моделей.
Системы счисления и нумерации – это способы знаково-символического моделирования натуральных чисел. Например, любое натуральное число s в десятичной системе счисления можно представить в виде:
s = an 10 n + an -110 n -1 + a 1101 + a 0 = anan -1 a 1 a 0, где ai < 10, i = 0,1,2, n, an ≠ 0.
Числа ai называются однозначными числами, а их обозначения (символы 1, 2, 3, 9, т.е. знаковые модели) называются цифрами. Следовательно, и запись anan -1. a 1 a 0 есть знаковая модель числа s. Другими знаковыми моделями натуральных чисел являются их представления цифрами римской нумерации, старославянской нумерации и др.
Большое разнообразие знаковых моделей представляют в наше распоряжение рациональные числа, которые можно записать в виде:
а) обыкновенной дроби, например, 12/7, 2/3;
б) десятичной конечной или десятичной бесконечной периодической дроби, например, 3,5; 2,(36); 12,17(3);
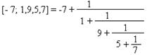
в) конечной непрерывной (или цепной дроби), например,
;

г) систематической дроби, например,
В зависимости от целей, которые стоят перед исследователем, используется та или иная знаковая модель рационального числа. Так, при проведении теоретических исследований предпочтении отдают непрерывным дробям, при выполнении практических вычислений – десятичным и обыкновенным, и т.д.
Универсальной моделью действительного числа является бесконечная десятичная дробь. При этом, если эта дробь периодическая, то изображаемое ею действительное число является рациональным; если же эта дробь непериодическая, то изображаемое ею действительное число является иррациональным. Другими знаковыми моделями действительных чисел являются непрерывные дроби (конечные и бесконечные), иррациональные числа, которые изображаются с помощью знаков корней (
,
,
и др.), трансцендентные числа (p = 3,141592, e = 2,718281 и др.).
АКСИОМАТИЧЕСКИЙ МЕТОД И МОДЕЛИРОВАНИЕ. Особая роль принадлежит моделированию в установлении истинности той или иной формы теоретического знания (аксиоматической теории, гипотезы и т.д.). Модель здесь можно рассматривать как орудие проверки того, действительно ли существуют такие связи, отношения, структуры, закономерности, которые формулируются в данной теории и выполняются в модели, а успешная работа модели - это практическое доказательство истинности теории, т.е. это часть экспериментального доказательства истинности этой теории.
Сформулировав основные понятия (объекты и отношения), а так же аксиомы некоторой теории, мы имеем лишь логическую схему, в которой все понятия считаются «пустыми» (не имеющими конкретный смысл). Требование только одно: данные понятия должны формально удовлетворять аксиомам. Остальные свойства этих и новых понятий (т.е. тех, которые будут введены в дальнейшем) должны быть логически выведены из аксиом.
Придав основным объектам и отношениям аксиоматики конкретный смысл, мы получим ее модель. Ценность моделей в этом случае заключается в том, что они дают возможность проверить логическую стройность аксиоматики. При этом, как только понятиям аксиоматики придан конкретный смысл, ее аксиомы становятся теоремами, которые уже нужно доказывать.
Так, моделями булевой алгебры являются алгебра множеств и алгебра высказываний, моделью числового поля – множество действительных чисел с заданными на нем операциями сложения и умножения. Интересные модели предоставляют в наше распоряжение аксиоматики евклидовой геометрии и геометрии Лобачевского.
Пример 6. Модель №1 евклидовой геометрии. Условимся под словами «точка», «прямая» и т.д. подразумевать следующее (другими словами, придадим конкретный смысл основным понятиям). «Точка» – любая точка обыкновенной плоскости, кроме одной точки O; «прямая» – окружность в широком смысле, проходящая через точку O, т.е. любая окружность или прямая, проходящая через точку O (можно считать, что обыкновенная прямая – это окружность с бесконечно большим радиусом.); «принадлежит» – в обычном смысле. Чтобы не усложнять пример, истолкование других слов («между», «конгруэнтен» и т.д.) приводить не будем.
Можно показать, что для таких «точек» и «прямых» выполняются все аксиомы евклидовой геометрии. Например, аксиома «Через две различные точки проходит одна и только одна прямая» становится в нашей модели теоремой «Через три точки проходит единственная окружность в широком смысле». Докажем ее. Пусть «точки» B и C (рис. 4.8) таковы, что точка O не лежит на прямой BC.
Из планиметрии Евклида известно, что через три точки (B, C и O), не лежащие на одной прямой, проходит единственная окружность. Если же «точки» B и C таковы, что BC проходит через O, то B и C определяют единственную прямую, проходящую через O. Что и требовалось доказать.
Пример 7. Модель №2 евклидовой геометрии. Введем словарь понятий. «Точка» - всякая упорядоченная пара чисел (х,у); «прямая» - множество точек, координаты которых удовлетворяют уравнению вида
Ax + By + С = 0; «принадлежит» - «точка» (x 0, y 0) лежит на «прямой» Ax + By + С = 0, если Ax 0 + By 0 + С = 0; «между» - точка B (x 2, y 2) лежит между A (x 1, y 1) и C (x 3, y 3), если выполняется хотя бы одно из следующих отношений: x 1< x 2< x 3, x 3< x 2< x 1, y 1< y 2< y 3 или y 3< y 2< y 1; «конгруэнтен» (для отрезков) - отрезок A (x 1, y 1) B (x 2, y 2) конгруэнтен отрезку C (x 3, y 3) D (x 4, y 4), если (x 1- x 2)2 + (y 1- y 2)2 = (x 3- x 4)2 + (y 3- y 4)2 и т.д.

Рис. 4.8
Геометрия Лобачевского, не получившая признания при жизни ее автора, стала известной только после того, как появилась ее первая модель.
Пример 8. Модель Кели-Клейна геометрии Лобачевского. Введем словарь понятий. «Плоскость» - фиксированный круг; «точка» - обычная точка, находящаяся внутри круга, «прямая» - хорда окружности (без концов); «лежать», «между» – в обычном смысле. Чтобы не усложнять пример, истолкование других слов приводить не будем.
Можно показать, что на этой модели выполняются все аксиомы геометрии Евклида кроме аксиомы IV о параллельных. Вместо нее выполняется аксиома Лобачевского: «Через точку вне прямой проходит более одной прямой, не пересекающей данную». На рис 9а через точку O проходят три «прямые» d 1, d 2 и d 3, параллельные «прямой» a.
Пример 9. Модель Пуанкаре геометрии Лобачевского. Введем словарь понятий. «Точка» - обычная точка, находящаяся в верхней полуплоскости (x >0), «прямая» - луч, перпендикулярный оси X, а также полуокружности, опирающиеся на ось X (см. рис. 9б); «лежать», «между» – в обычном смысле. Чтобы не усложнять пример, истолкование других слов приводить не будем. На рис. 9б через точку O проходят три «прямые» d 1, d 2 и d 3, параллельные «прямой» a.
Наличие моделей доказывает, что система аксиом Лобачевского является непротиворечивой.
Построение моделей геометрий Евклида и Лобачевского позволило решить проблему 2000-летней давности: можно ли доказать аксиому о параллельных, т.е. вывести ее из других аксиом? Теперь ясно, что нельзя, потому что эта аксиома не зависит от остальных аксиом. Независимость вытекает из того факта, что после замены аксиомы параллельности Евклида на аксиому параллельности Лобачевского мы вновь получаем непротиворечивую систему аксиом.
Открытие неевклидовой геометрии показывает, что появление новых математических моделей нередко означает не только принципиальный поворот в развитии самой математики, но и меняет существующие знания об окружающем нас мире.
МОДЕЛИ В ОБУЧЕНИИ. Модели помимо всего прочего являются тем учебным средством, без которого невозможно полноценное обучение. На уроках математике в начальной школе находят применение как материальные, так и идеальные модели. К ним относятся, например, наглядные пособия, которые воспроизводят реальные и идеальные объекты, передают их структуру, существенные свойства, связи и отношения, допуская при этом уменьшение или увеличение размера, схематическое изображение. По способу предъявления учащимся такие модели делятся на демонстрационные и раздаточные (индивидуальные).
![]() |


