Пленочная модель основывается на предположении о том, что у поверхности жидкости, граничащей с газом, имеется неподвижная пленка (диффузионный слой) толщиной. В пределах этой пленки газообразный реагент переносится исключительно вследствие молекулярной диффузии при полном отсутствии конвективного переноса.
Изменение концентрации растворяемого реагента от величины СAg(постоянная концентрация в газовой фазе) до CAL (концентрация в основной массе жидкости) происходит внутри пленки
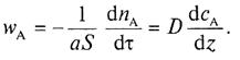
Массоотдача от газа к жидкости через пограничную пленку описывается законом Фика для молекулярной диффузии:
![]() |
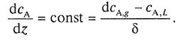
В стационарном режиме, при постоянстве коэффициента молекулярной диффузии
![]() |
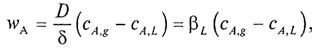
Тогда:
![]() |
где bL— коэффициент массоотдачи в диффузионной пленке.
![]() |
Коэффициент массоотдачи
Модели обновления поверхности (или модели проницания) основываются на предположении о том, что через некоторые промежутки времени происходит замещение элементов жидкости у поверхности раздела фаз жидкостью из глубинных слоев. Пока элемент жидкости находится у поверхности и соприкасается с газом, абсорбция газа жидкостью происходит при таких условиях, как если бы этот элемент был неподвижен и имел бесконечную глубину. Скорость абсорбции является в такой модели функцией «времени пребывания» элемента жидкости у поверхности раздела фаз. В начальный период, когда = 0, скорость велика, а по мере увеличения времени пребывания уменьшается.
Модели обновления поверхности для случая абсорбции газов перемешивающимися жидкостями являются более реалистичными. Однако математический аппарат, используемый в них, существенно сложнее, чем у пленочной модели. В то же время количественные прогнозы, сделанные на основе пленочной модели, как правило, мало отличаются от расчетов, выполненных на основе моделей обновления поверхности.



