Технология фосфорных удобрений
Технология серной кислоты
ПЛАН ЛЕКЦИИ
Лекция 13
Азотной кислоты
Прямого синтеза или концентрированием промышленной
Концентрированная азотная кислота производится методом
Технология под повышенным давлением
Промышленным способом получения азотной кислоты является
ВЫВОДЫ
Сырье для серной кислоты и методы ее получения. Исходными реагентами для получения серной кислоты могут быть элементная сера и серосодержащие соединения, из которых можно получить либо серу, либо диоксид серы. Такими соединениями являются сульфиды железа, сульфиды цветных металлов (меди, цинка и др.), сероводород и рад других сернистых соединений.
Традиционно основные источники сырья — сера и железный (серный) колчедан. Постепенно доля колчедана как сырьевого источника уменьшается, что связано и с большими транспортными расходами на его транспортировку (кроме серы в нем весьма велика доля других компонентов), и с невозможностью избавиться от отхода — огарка. Значительное место в сырьевом балансе производства серной кислоты занимают отходящие газы цветной металлургии, содержащие диоксид серы.
Для защиты окружающей среды во всем мире принимаются меры по использованию отходов промышленности, содержащих серу. В атмосферу с отходящими газами тепловых электростанций и металлургических заводов выбрасывается диоксида серы значительно больше, чем применяется для производства серной кислоты. Например, в 1980-х годах мировое потребление серы составляло примерно 65 млн т/год, а терялось ЗО2 с отходящими газами (в пересчете на серу) почти 100 млн т. В то же время из-за низкой концентрации &О2 в таких отходящих газах их переработка пока еще не всегда осуществима.
Производство серной кислоты включает в себя несколько этапов. На первом этапе получают диоксид серы окислением (обжигом) серосодержащего сырья'. Следующий этап — превращение оксида серы (IV) в оксид серы (VI). Этот окислительный процесс характеризуется очень высоким значением энергии активации, для понижения которой необходимо, как правило, применение катализаторов. В зависимости от того, как осуществляется процесс окисления ЗО2 в 8О3, различают два основных метода получения серной кислоты — контактный и нитрозный.
При получения серной кислоты по контактному методу процесс окисления ЗО2 в 5О3 проводят на твердых катализаторах. Три-оксид серы переводят в серную кислоту на последней стадии процесса — абсорбции триоксида серы, которую упрощенно можно представить уравнением реакции

При проведении процесса по ттрозному (башенному) методу в качестве переносчика кислорода используют оксиды азота.
Окисление диоксида серы осуществляется в жидкой фазе и конечным продуктом является серная кислота:

В промышленности в основном применяют контактный метод получения серной кислоты, позволяющий использовать аппараты с большей интенсивностью.
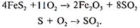
Контактный метод получения серной кислоты. Рассмотрим процесс получения серной кислоты контактным методом из двух видов сырья: серного (железного) колчедана и серы. Первой стадией процесса является окисление сырья с получением обжигового газа, содержащего диоксид серы. В зависимости от вида сырья протекают экзотермические химические реакции обжига:
(I)
(П)
При протекании реакции (I) помимо газообразного продукта реакции ЗО2 образуется твердый продукт Ре2О3, который может присутствовать в газовой фазе в виде пыли. Колчедан содержит различные примеси, в частности соединения мышьяка и фтора, которые в процессе обжига переходят в газовую фазу. Присутствие этих соединений на стадии контактного окисления диоксида серы может вызвать отравление катализатора. Поэтому реакционный газ после стадии обжига колчедана должен быть предварительно ла-правлен на стадию подготовки к контактному окислению (вторая стадия), на которой помимо очистки от каталитических ядов выделяются пары воды (осушение), а также получаются побочные продукты.
Если обжиговый газ получают сжиганием серы, то отпадает необходимость очистки от примесей. Стадия подготовки будет включать в себя лишь осушку газа и утилизацию теплоты.
На третьей стадии протекает обратимая экзотермическая химическая реакция контактного окисления диоксида серы

Последняя стадия процесса — абсорбция триоксида серы концентрированной серной кислотой или олеумом.
Отдельные этапы получения серной кислоты могут быть по-разному скомбинированы в технологическом процессе (рис. 1)

Рис.1. Функциональные схемы производства серной кислоты из колчедана методом одинарного контактирования (а), из серы методом двойного контактирования (б) и циклическим методом из серы (в)






