Статистика примесных состояний. Функция распределения электронов и дырок по примесным состояниям. Плотность примесных состояний. Примесные зоны. Влияние температуры и концентрации примеси на концентрацию свободных электронов и дырок.
Статистика носителей заряда в легированных полупроводниках
Легирован мелкими донорами.
Концентрация доноров – Nd, энергия ионизации - DEd.

При T = 0 k доноры электрически нейтральны и концентрация электронов равна нулю.
При повышении T: доноры ионизуются и концентрация электронов будет равна концентрации ионизованных доноров. 
При росте T – все доноры ионизуются и концентрация электронов:
– концентрация доноров
- наступает истощение примеси.
Рассмотренный интервал T – область примесной проводимости.
Дальнейший рост T: в некотором диапазоне T n не будет зависеть от T, пока не начнется процесс ионизации собственных атомов (смотри *).
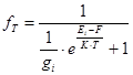
Функции распределения электронов и дырок по примесным состояниям ft
Функция ft должна отличаться от функции fФ-Д (E, T) из-за спинового вырождения состояний в энергетической зоне,

что увеличивает вероятность перехода электрона из зоны проводимости на уровень Ed.
Это учитывает функция ft в виде:
,где
gi – коэффициент, учитывающий спиновое вырождение уровней.
Ei – основной уровень примесного центра.
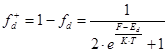
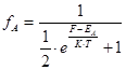
Функция распределения электронов по уровням доноров:
- определяет вероятность нахождения доноров в нейтральном состоянии D0 (D+ e-)*
Для доноров g = 2
Ed – основной уровень
* или электрона на уровне Ed
При f = Ed fd = 2/3 (выше, чем в зоне проводимости)
Вероятность нахождения донора в ионизованном состоянии:

или дырки на уровне донора.
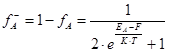
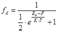
Функция распределения дырок по уровням акцепторов
- вероятность нахождения акцепторов в нейтральном состоянии A0(A-h+)
для акцептора g = 2, EA – основной уровень.
Вероятность нахождения акцепторов в ионизированном состоянии:

(или вероятность нахождения электронов уровня EA – (А-) состояние акцептора)
А0(A-h+) = A- + h+ - ионизация акцептора, возникает дырка в валентной зоне или это адекватно переходу электрона из валентной зоны на уровень EA.
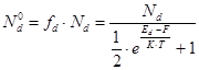
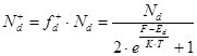
Концентрация нейтральных и ионизированных доноров и акцепторов
Концентрация нейтральных доноров

Nd - концентрация доноров
Концентрация ионизированных доноров

Концентрация нейтральных акцепторов
NA0 = fA NA
NA – концентрация акцепторов
Концентрация ионизированных акцепторов
NA- = fA- NA
Уровень Ферми и концентрация электронов в невырожденных некомпенсированных полупроводниках n-типа
Выделим области низких температур, где происходит ионизация мелких доноров и высоких температур, где происходит ионизация для атомов основного вещества, так как энергия ионизации доноров DEd << DE (ширина запрещенной зоны полупроводника).
Низкая Т (область примесной проводимости)
Определить F и n.
Из анализа электронных процессов следует, что:
n = Nd+ или n = Pd
Pd – концентрация дырок на уровне Ed
- уравнение электрической нейтральности.
Опредилим F:

Введем: 



Решение уравнения:

Значение X(F) зависит от члена
,который может быть >> 1 или << 1.
- для 

, 
- для 

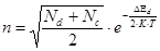
Откуда 
При T=0 К уровень Ферми лежит между уровнем ЕС и Еd и с повышением температуры уровень F будет подниматься к уровню ЕС, проходить через максимум при Т = Тmax и затем опускаться.

Это связано с тем, что 2NC становится больше Nd с ростом температуры.

- концентрация зависит по экспоненте от температуры

Зависимость
определяется энергией ионизации донора - 
- n и F для 
С ростом температуры
и 

разложение в ряд



(**) – уровень F удаляется от EC и пересекает уровень Ed в сторону E i
Возникает дырка в валентной зоне или это адекватно переходу e из валентной зоны на уровень Ел
Концентрация нейтральных и ионизированных доноров и акцепторов
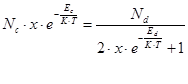
Концентрация нейтральных доноров:
N0d=ƒdNd= Nd / (1/2e Ed-F/kT+1)
Nd – концентрация доноров
Концентрация ионизированных доноров Nd+ =ƒd+Nd= Nd / (2e F-Ed /kT+1)
Концентрация нейтральных акцепторов NA0=ƒANA NA - концентрация акцепторов
Концентрация ионизированных акцепторов NA-=ƒA-NA
Уровень Ферми и концентрация eab в невырожденном некомпенсированном п/п n-типа
Выделим области низких температур, где происходит ионизация мелких доноров и высоких температур, где происходит ионизация атомов основных веществ, т к энергия ионизации доноров ΔEd<<ΔE (ширина 33 п/п.
Низкая Т (область примесной проводимости)
Определить F и n
Из анализа электрон. прогрессов следует что n = Nd+ или n=Pd
Pd- конц дырок по урав.Ed(урав электр нейтральности)
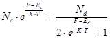
Определим F
Nc*e(F-Ec)/kT =Nd/ (2e(F-Ed)/kT +1)
Введем х=eF/kT
Nc*x* eEc/kT = Nd/(2xe-Ed/kT+1)
Nc*x* eEc/kT *2xe-Ed/kT + Nc*x* eEc/kT-Nd=0
Решим уравнение:
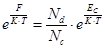
X=1/4eEd/kT *(√(1+δNd/Nc*eΔEd/kT )-1)=eF/kT
ΔEd=Ec-Ed
Значение x(F) зависит от члена 8Nd/Nc*eΔEd/kT , который может быть >>1 или <<1
Для 8Nd/Nc*eΔEd/kT>>1:
![]() | ![]() |
0 K T
Обл прилегающая к 0 К низкие
Nc~T3/2, kT<ΔEd
Для 8Nd/Nc*eΔEd/kT<<1:
X=1/4eEd/kT√(8Nd/Nc) eΔEd/kT =eF/kT
Откуда: F=(Ec+Ed)/2+(kT/2)ln(Nd/2Nc)
При Т=0 К уровень Ферми м/у уровнями Ес и Ed и с новым Т-ур F будет понижаться к ур Ec проходить через max при T=Tmax и затем опускаться
Это связано с тем что 2Nc становятся больше Nd с ростом Т.
F
Ошибка: источник перекрестной ссылки не найден
n=Nc*e(F-Ec)/kT=Nc*e [(Ec+Ed)/2+(kT/2)ln(Nd/2Nc)-Ec]/kT
n=√[(Nd+Nc)/2] eΔEd/2kT – концентрация зависит по экспоненте от Т
Ошибка: источник перекрестной ссылки не найден
n и F для 8Nd/Nc*eΔEd/kT<<1
С ростом Т еΔEd/kT 1 и Nc>>8Nd
X=1/4 еEd/kT(1+(1/2)*8Nd/Nc*еΔEd/kT+…-1) (разложение в ряд)
X=1/4 еEd/kT4Nd/Nc* еΔEd/kT=Nd/Nc*eEc/kT
eF/kT=Nd/Nc* eEc/kT
F=Ec+kTln(Nd/Nc) уравнение F (удал от Ес и пересекает уровень Ed в сторону Ei.
N=Nc(F-Ec)/kT=Nc*e [Ec+kTln(Nd/Nc)-Ec]/kT
n=Nc*Nd/Nc n=Nd (концентрация электронов равна концентрации примеси)
Т. о. примесь полностью ионизирована:
n=Nd+=Nd – если истощена, т.е. не поставляет еы в зоне проводимости.
В некотором интервале Т, концентрация электронов не будет зависеть от Т, пока не начнется ионизация атомов основного вещества. Этот интервал Т – называется областью истощения примеси.
Высокие Т – начинается переход к обл. собств. проводимости, - возрастает концентрация неосновных носителей дырок.
np=ni2
Концентрация электронов n=p+Nd
n=Nd/2(√[1+4ni2/Nd2]+1) где 4ni2/Nd2 может быть <<1 или >>1
для 4ni2/Nd2 <<1; n= 2*Nd/2=Nd
т.е это температуры где 8Nd/Nc*eΔEd/kT<<1 уровень F=Ec+kTln(Nd/Nc)
для 4ni2>>1; n=2ni*Nd/(2*Nd)=ni
n=ni – собственная концентрация, т. е. при этом условии полупроводник находится в область собственной проводимости.
Уровень F: Nc*e(F-Ec)kt=(Nc*Nv)1/2e-ΔEg/2kT
Откуда F-Fi=(Ec+Ev)/2+kT/2ln(Nv/Nc), т.е. как в собственном полупроводнике.
Температурная зависимость n и F
F ln n

Тниж Тверх – нижняя и верхняя границы области истощения
Компенсационный полупроводник n-типа
В полупроводник введены доноры(Nd,ΔEd) и акцепторы(NA,ΔEA)
Степень компенсации Na/Nd(Nd>Na)

Электронные процессы
![]() |
Часть доноров, равная NA идет на компенсирование акцепторов
Активные доноры – поставщики электронов (Nd-NA)
В области низких температур концентрация электронов равна
N=2(Nd-NA)/[(1+2Na/Nc*eΔEd/kT)+({1+2Na/Nc*eΔEd/kT}2+8{Nd-Na}/Nc* eΔEd/kT)]
При низкой компенсации имеем случай, аналогично некомпенсированному. Полупроводник n-типа.
8(Nd-Na)/Nc* eΔEd/kT>>2Na/Nc*eΔEd/kT
Nd<<Na
n≈Nd и F=Ec+kTln(Nd/Nc)
Случай сильной компенсации:
2Na/Nc* eΔEd/kT >>1 и >>8(Nd-Na)/Nc* eΔEd/kT
n≈[2(Nd-Na)]/[2*2Na/Nc* eΔEd/kT]
n=(Nd-Na)/(2Na)*Nc*e-ΔEd/kT
Уровень Ферми
Nc*e(F-Ec)/kt = (Nd-Na)/2Na*Nc* e-ΔEd/kT
e(F-Ec)/kt = (Nd-Na)/2Na*e-(Ec-Ed)/kt
eF/kT = (Nd-Na)/2Na*eEd/kT
F=Ed+kTln[(Nd-Na)/2Na]
При Т=0 К F=Ed
Температурная зависимость n(T) и F(T)
Ошибка: источник перекрестной ссылки не найден
Вырожденные полупроводники
При сильном легировании примесями(донорами) концентрация электронов в полупроводнике n-типа возрастает и уровень Ферми приближается к уровню Ec, а затем пересекает его и входит в зоне проводимости – начинается вырождение электрон. газом. В полупроводнике p-типа при сильном легировании акцепторами уровня Ферми входит в валентной зоне – начинается вырождение дырочного газа.
Критерии вырождения полупроводника является критическая концентрация NdКрит или NaКрит
Оценим величину Ndкрист для полупроводника n-типа
Из уровня F=Ec
Концентрация электронов в ЗП: n=Nd+
(2Nc/√n)φ1/2(0)=Nd/(1+2e (F-Ed)/kT)
ξ = (F-Ec)/kT=0 F-Ed=ΔEd – энергия ионизации доноров
т о Nd=(2Nc/√n) φ1/2(0)(1+2eΔEd/kT)=Ndкрит
Ndкрит носит оценочный характер, т.к. не учитывалась возможность образования примесной зоны (расщепление дискретного уровня Ed в зону энергии).
При сильном легировании изменяется электронный спектр полупроводника – возникают “хвосты” плотности состояний в запрещенной зоне.
Ошибка: источник перекрестной ссылки не найден


Ширина запрещенной зоны уменьшается: ΔEg*<<ΔEg
- 
