Обратная связь - воздействие с выхода на вход. Виды обратной связи:

1. Положительная (с увеличением входа выход растет). Эта связь сигнала неустойчивости системы.
2. Отрицательная (с увеличением на входе сигнал на выходе ведет к уменьшается).
Рассмотрим методику структурного анализа системы управления на примере. Пусть имеется последовательность элементов А, В, С системы управления (рис. 5).

А, В, С — операторы; например, расчетные работники бухгалтерии, выполняющие расчеты по последовательно связанным алгоритмам А, В и С
Рис.5. Последовательность элементов А, В, С системы управления
Для этой системы можно записать уравнения связи входов и выходов:
y = Ax
z = By
v = Cz
Функциональные операторы могут выполнять разные преобразования входов в выходы:
1) у = kх — пропорциональное преобразование (П),
2)
- дифференцирующее преобразование (Д),
3)
- интегральное преобразование (И).
Если все звенья пропорциональные, то реализуется П-закон управления.
Если звенья дифференцирующие и П-звенья, то ПД-закон.
|
|
|
Если все звенья интегральные, то И-закон.
Выбор закона управления определяется решаемыми задачами управления. Если зависимости А, В и С - пропорциональные, то подстановкой получаем зависимость выхода от входа
v - АВСх (1.5)
и передаточную функцию
v/x=ABC (1.6)

Графически выражения (1.5), (1.6) имеют вид прямой.
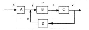
Введем в рассмотрение обратную связь (рис. 9). Проведя таким же образом выводы, получаем разные зависимости v=f(x) (1.7), (1.8), в зависимости от значения D характеризующие эффекты положительной и отрицательной обратной связи.

У = А (х + u)
z = В у
v = С z
u = D v
Последовательно подставляя значения переменных, имеем:
V =ABC (x + u)
v = ABC (х + Dv)
v = АВСх + ABCDv (1.7)

(1.8)
Рис. 10
На таком же принципе построено действие мультипликатора Кейнса в экономике.
При А = В = С = 1 и
1) D1 = 2
2) D2 - 0,2,
получаем разные закономерности v = f(x) (рис. 10). При D1 имеется положительная обратная связь и возможна неустойчивая работы системы (рис. 9), при D2 - связь отрицательная, ведущая к стабильности.
Так же для другой схемы соединения элементов (рис. 11) выведем уравнения (1.9), (1.10) закона функционирования.

Рис. 11.
y = A x
z = B (y = u)
v = C z
u = Dv
v = CB (Ax + Dv)
v = CBAx + CBDv
(1.9)
(1.10)
Для схемы с двумя контурами обратных связей (рис. 12) получаем более сложные зависимости входа от выхода. Множество обратных связей в экономике и в системе управления фирмы обеспечивают их устойчивость. При двух обратных связях имеем 5 уравнений работы элементов и закон управления в виде (1.11), (1.12).
|
|
|
![]() | ![]() | ![]() | ![]() | ||||
|
u w ![]() |
Рис. 12.
y = A (x +u)
z = B y
v = C (z + w)
w = D v
u = E v
v = C (BAx + BAu + Dv)
v = C (Bax + BAEv + Dv)
(1.11)
v
(1.12)











