Биения
Если два складываемых гармонических колебаний одинакового направления мало отличаются по частоте, то возникают биения.
Биениями называют периодические изменения амплитуды колебания, возникающие при сложении двух гармонических колебаний с близкими частотами.
Пусть
х1 = A1 cos wt
х2 = A2 cos (w + Dw) t, тогда х = А¢ cos wt
Амплитуду А¢ найдем по теореме косинусов:
если А1=А2 j01 = j02 = 0 тогда
cos (x+y) = cos x·cos y – sin x·sin y
1 + cos2x = 2cos2x
. | (10.4) | |
| (10.5) |
уравнение биений
Т. к. Dw / 2 << w, то (10.5) почти не изменяется за то время, когда cos w t совершит полное колебание частоты изменения амплитуды биения в два раза больше частоты изменения косинуса (т. к. берется по модулю).
, | (10.6) |
тогда частота биений равна разности частот складываемых колебаний.
. | (10.7) |
График результирующего колебания дают жирные линии, а огибающие их – график изменения с течением времени амплитуды.

Рис. 10.2. Биения
Метод биений используется для настройки музыкальных инструментов, анализа слуха.
Любые сложные периодические колебания S = f (t) можно представить в виде суперпозиции одновременно совершающихся гармонических колебаний с различными амплитудами, начальными фазами, а также частотами кратными циклической частоте wо:
| (10.8) |
Представление периодической функции в виде (10.8) связывают с понятием гармонического анализа сложного периодического колебания или разложения Фурье (Фурье – французский математик).
Слагаемые ряда Фурье, определяющие гармонические колебания с частотами wо , 2wо, 3wо,... называются первой (основной), второй, третьей, и т.д. гармониками сложного периодического колебания.
Пусть имеются два гармонических колебания одинаковой частоты w, происходящие во взаимно перпендикулярных направлениях вдоль осей х и у.
, | (11.1) |
j2 – j1 = j – 0 = j – разность фаз складываемых колебаний.
А и В – амплитуда складываемых колебаний.
Чтобы найти уравнение траектории результирующего колебания у=f (х) необходимо исключить зависимость от t в системе уравнений (11.1).
Пусть из (11.1)
х / А = cos wt;
у /В = cos (wt + j) = cos wt cos j – sin wt sin j,
а

Подставив, получим:
.
Возведем это уравнение в квадрат.
;
;
. | (11.2) |
Уравнение (11.2) – это уравнение траектории результирующего колебания. Это уравнение эллипса с произвольно ориентированными относительно координатных осей осями.
Если: 1) j = 2mp/2 (m = 0, ±1, ±2,...) то
,
. | (11.3) | |
. | (11.4) |
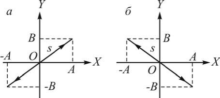
Эллипс вырождается в отрезок прямой, где «+» соответствует 0 и четным значениям m (сплошная линия), а «–» нечетным значениям m (пунктирная линия). Результирующее колебание является гармоническими с частотой w и амплитудой:
. | (11.5) |
Колебание совершается вдоль прямой: у = ± х В / А, которая составляет с осью х угол j
. | (11.6) |
Колебания называются линейно поляризованными.
Траектории взаимно перпендикулярных колебаний

Рис 11.1 – сплошная линия Рис 11.2 – пунктирная линия.
Если: 2) j = (2m + 1) (p / 2) (m = 0, ±1, ±2,...) то уравнение имеет вид:
| (11.6) |
это уравнение эллипса, оси которого совпадают с осями координат, а полуоси равны соответствующим амплитудам (рис. 11.3).
Если А = В, то эллипс вырождается в окружность. Такие колебания называются поляризованными по кругу или циркулярно-поляризованными.

Рис. 11.3
Если частоты складываемых, взаимно перпендикулярных колебаний различны, то замкнутая траектория результирующего колебания имеем сложный вид и носит названия фигур Лиссажу. Ж. Лиссаж – (1822-1880) – французский физик (см. рис. 11.4.)
Форма этих кривых зависит от соотношения амплитуд, частот и разности фаз складываемых колебаний. Отношение частот складываемых колебаний равно отношению числа пересечений фигур Лиссажу с прямыми, параллельным осям координат. По виду фигур можно определить неизвестную частоту по известной или определить отношение частот складываемых колебаний. Метод фигур Лиссажу используют для анализа соотношений частот и разности фаз складываемых колебаний.

Рис. 11.4. Виды фигур Лиссажу
.
,
.
,
.
.
.
.
.






