< TR>
|
При виброизоляции между рассматриваемыми звеньями устанавливают линейный или нелинейный виброизолятор, который обычно состоит из упругого и демпфирующего элементов (рис. 9.2).
В этой механической системе x2 >x1 (предположим, что x2 >x1 ) и D x = x2 - x1 , тогда кинетическая энергия системы
< TR>
|
а потенциальная
U = c* D x2 / 2.
То есть в системе с виброизолятором только часть работы внешней силы расходуется на изменение кинетической энергии. Часть этой работы переходит в потенциальную энергию упругого элемента и часть рассеивается демпфером (переходит в тепло и рассеивается в окружающей среде).
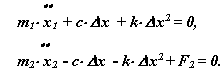
Уравнения движения
< TR>
|
Решение этой системы уравнений подробно рассматривается в курсе теории колебаний, поэтому ограничимся только анализом амплитудно-частотной характеристики. Характеристику построим в относительных координатах D xотн = x/xст , где xст - статическая деформация упругого элемента.
< TR>
|
Рис. 9.3
< TR>
< TR>
< TR>
< TR>






