Ф-машины (φ) вид классификаторов, в которых для классификации используются φ функции. φ функция (обобщенная дискриминантная функция записывается в виде:

где fi(x); i=1,…,M- линейно независимо вещественные, однозначно определенные функции, независимые отWi.
Отметим, что φ(х) – линейно относительно Wi, однако, fi(x)- необязательно предполагается линейным.
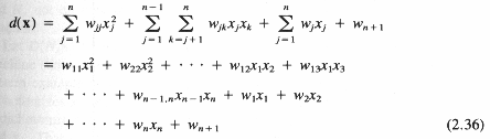
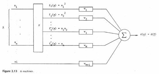
В этой системе имеется М+1 степеней свободы. Для примера возьмем ту же нелинейную, которая рассмотрена в 2.4.

Схематически диаграмма φ машины для этой проблемы показана на рис. 2.13.

F блок – это квадратичный процессор и F=(f1, f2,…, fM). Первые n компонент
есть
, следующие n(n-1)/2 компонент есть все пары
и последние n компонент
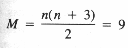
общее число компонент М = n(n+3)/2. Т.о. мы имеем трансформацию n-мерного пространства образов в М-мерное φ-пространство.
2.5.2. Емкость φ-машин для классификации образов.
Вычислим число дихотомий, которые могут быть получены для N образов. Предположим, что М=2 и мы имеем N n-мерных образов. Т.к. каждый образ может попасть либо в w1, либо в w2, существует 2N различных путей, которыми N образов могут быть дихотомизированы. Для N=3 мы будем иметь 8 дихотомий, N=4 – 16 дихотомий. Общее число дихотомий, которое может обеспечить ЛДФ (φ-машина, в φ-пространстве) зависит только от n и N, но не от того, как расположены образы в пространстве образов, образованном φ-функциями.
|
|
|
Пусть D (N, n) будет числом дихотомий, которые могут быть получены линейной машиной (линейные дихотомии) для N образов в n-мерном пространстве. На примере, приведенном на рис. 2.14 для 4 образов показаны все возможные линейные дихотомии.

Каждая линейная поверхность li делит образы двумя способами.
Например l3.

Общее число линейных дихотомий N точек в n-мерном евклидовом пространстве равно удвоенному числу путей, которыми эти точки могут быть разделены (n-1)-мерными гиперплоскостями. Так, D (4,2) = 2*7 = 14. Сравнивая с общим числом возможных дихотомий 2N = 16, мы находим, что две дихотомии линейно нереализуемы. На рис. видно, что точки (x1, x4) и (x2, x3) не могут быть линейно разделены. Можно показать, что общее число линейных дихотомий определяется следующим соотношением.

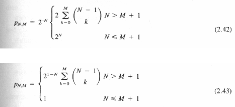
Обобщим эту проблемму нахождения вероятности получить желаемую дихотомию. Для заданной φ-машины и последовательности из N образов в пространстве образов возможно 2N дихотомий и любая из них может быть выбрана с вероятностью 2-N. Для обобщенной решающей функции

вероятность PN,M того, что любая дихотомия может быть получена, определяется как:
PN,M = число φ-дихотомий / общее число возможных дихотомий = D(N,M)/ 2N.

Отметим, что PN,M=1 для N<=M+1, что означает, что число образов меньше числа возможных весов для обобщенной решающей функции и, соответственно, образы могут быть всегда линейно разделены в М-мерном пространстве образов. Проведенный выше анализ не говорит нам как выбрать d(x) или φ(х), однако он оценивает возможность данной машины осуществлять дихотомию образов. Например, если у нас для двух классов имеется N образов, мы можем быть уверены, что если взять большое М, то всегда найдется подходящий.
|
|
|
Возьмем параметр λ.
N= λ(M+1)
И построим зависимость:
PN,M = PN,λ
Рис.
Видно, что пороговое значение λ = 0,5. Тогда можно определить дихотомизационную мощность решающего правила как:
С=2(М+1)
Видно, что чем больше размерность, тем больше мощность. Мощность – это пороговое значение длины обучающей выборки при котором еще можно получить заданную дихотомию с достаточно высокой вероятностью.
Линейный классификатор.
Пример: для двух классов в двухмерном пространстве с квадратической ДФ мы имеем

Тогда емкость дихотомизации будет С=2(М+1) = 20
Если N<20 мы имеем возможность надежного выбора.
Этот пример говорит нам сколько нужно иметь элементов в хорошей обучающей выборке.






