Потенциальная функция ψ(
) известна как ядро в оценке плотности вероятности, или есть функция Х и Zkm, определенная в пространстве образов, где Zkm – m-ый прототип, определяющий класс wk. Потенциальная функция хорошо иллюстрируется на рис. 2.15 для одномерного пространства образов. Этот потенциал определяет уменьшающееся соотношение между точкой Zkm и точкой х по мере того, как расстояние d(x, Zkm) между двумя точками увеличивается.

Рис. 2.15 Потенциальная функция одной переменной.
Суперпозиция индивидуальных ядер потенциальных функций будет использоваться как ДФ

которая определена для класса К, где Nk – число прототипов в классе К. Функции ψ могут различать классы или даже прототипы между внутри класса. Для ψ желательны следующие характеристики:
1. ψ(x, z) должна быть максимальна при x=z.
2. ψ(x, z) должна быть приближенно равна 0 для x отличающегося от z в заданной области.
3. ψ(x, z) должна быть гладкой (непрерывной) функцией и стремиться к монотонному уменьшению с увеличением дистанции d(x, z)
|
|
|
4. Если ψ(x1, z) = ψ(x2, z), образы x1 и x2 должны иметь приблизительно одинаковую степень подобия с z.
Если определен ряд потенциальных функций, которые формируют удовлетворительную ДФ как

тогда

Это будет помогать упрощению вычисления ψ и окончанию вычислений d(x).
Так, например,
и
после умножения

мы получим
,
что намного проще, чем ψ1(x, z).
Другая форма потенциальной функции может быть выбрана для образца образа Z.

где λi, i =1, 2,… - константы и Ψi, i=1, 2,… ортонормальные функции, такие, что

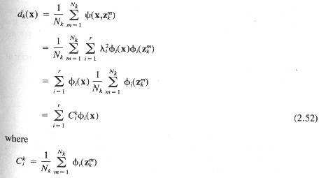
Если [Ψi] – полный ортонормальный набор, тогда для решающей функции φк имеем

Эта процедура наиболее привлекательна, когда или число выборок Nk мало, или размерность пространства достаточно мала для того, чтобы d(x) могла быть запомнена как таблица для дискретных значений X. Однако, если число выборок велико, вычислительные проблемы будут серьезными и могут возникнуть проблемы с памятью.







