Анализ и синтез являются основными методами познания. Суть анализа (декомпозиции) состоит в разделении целого на части, в представлении сложного в виде простых составляющих. Суть синтеза (агрегирования) – в соединении (мысленном или реальном) простых составляющих объекта в единое целое[17]. В целом люди различаются по доминированию аналитического или синтетического склада мышления.
Закон единства анализа и синтеза предполагает рассмотрение в диалектическом единстве процессов структуризации, детализации, распределения, специализации, т.е. анализа с обратными процессами соединения, укрупнения, т.е. синтеза.

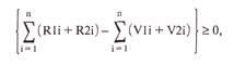
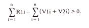
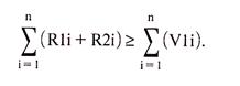
где Rli, R2i — внутренний и внешний потенциал (ресурс) в области экономики, политики, финансов и т.д., способствующий развитию компании; VIi, V2i – внутренний и внешний потенциал (ресурс), стремящийся ликвидировать компанию или нанести ей ощутимый вред.
Следствие 1. «Если ∑ (Vli + V2i) существенно меньше ∑ (Rli + R2i), то есть практически отсутствуют внешние и внутренние возмущающие воздействия, то компания идет к полному истощению ресурсов».

Следствие 2. «Если ∑ (Rli) существенно больше ∑ (R2i), то есть практически отсутствуют внешние созидательные ресурсы, то компания не занимается общественно полезной деятельностью (не удовлетворяет потребностей и интересов внешней среды)».

Следствие 3. «Если ∑ (Rli) существенно меньше ∑ (R2i), то есть практически отсутствуют внутренние созидательные ресурсы, то компании требуются внешние субсидии или дотации».

Следствие 4. «Если ∑ (Vli) существенно больше ∑ (V2i), то есть практически отсутствуют внешние возмущающие воздействия, то созидательные ресурсы компании (внутренние и внешние) тратятся на компенсацию внутренних возмущающих воздействий».







