ПРЯМЫЕ МЕТОДЫ ФОРМИРОВАНИЯ МАТЕМАТИЧЕСКИХ МОДЕЛЕЙ
Идея табличного метода заключается в объединении топологических и компонентных уравнений цепи. В качестве топологических уравнений используются уравнения для токов и напряжений ветвей, выраженные через матрицу инциденций. При таком подходе все токи и напряжения ветвей и напряжения узлов рассматривается как неизвестные переменные. Этот метод, очевидно, является наиболее общим, однако приводит к системе уравнений высокого порядка.
Допустим, что цепь имеет
ветвей и
независимых узлов, содержит R -, L -, C -элементы, зависимые и независимые источники и другие, часто используемые элементы. Топологические свойства цепи можно отобразить матрицами инциденций
, сечений
, и контуров
. Т.к. матрица инциденций, в отличие от матриц сечений и контуров, формируется непосредственно по схеме, именно она используется в табличном методе. Уравнение Кирхгофа для токов, как известно, запишется в виде
. (4.1)
Напряжения ветвей связаны с напряжениями узлов как
|
|
|
, (4.2)
где
- напряжения и токи ветвей;
- напряжения узлов.
Компонентные уравнения в самом общем случае могут быть записаны как
,
где
- соответственно проводимость и импеданс;
– безразмерные константы;
- токи и напряжения независимых источников, в том числе источников, учитывающих влияние начальных условий на конденсаторах и катушках индуктивности. Для компактности воспользуемся более краткой формой компонентных уравнений
. (4.3)
Заметим, что для различных типов ветвей
и
могут принимать конкретное значение: +1, -1 либо 0, а
- конкретное значение, либо 0.
В таблице 4.1 представлены значения
для некоторых типов ветвей.
Таблица 4.1 – Компонентные уравнения двухполюсников
| Элемент | Компонентные уравнения | | | |
| Резистор | | | | |
| Проводимость | | | | |
| Конденсатор | | | | |
| Катушка индуктивности | | | | |
| Источник напряжения | | | | |
| Источник тока | | | | |
Заметим, что в таблице 4.1 конденсатор представлен как проводимость
, а индуктивность - как сопротивление
.
В принципе, возможно и обратное представление, однако, забегая вперед, можно отметить, что для формального перехода от алгебраических уравнений в частотной области к дифференциальным уравнениям во временной области недопустимы множители типа
.
Таким образом, это ограничение необходимо соблюдать, если на основании математической модели предполагается вычисление временных характеристик путем перехода от алгебраических уравнений к дифференциальным уравнениям и их последующего интегрирования.
Табличную систему уравнений можно представить в виде
(4.4)
или в блочной матричной форме
, (4.5)
или в общем виде
. (4.6)
Как следует из структуры уравнений, блочная матрица
имеет на главной диагонали квадратные матрицы. При табличном методе не различаются источники и пассивные компоненты, как в обобщенном узловом методе. Нумерация элементов также может быть произвольной.
|
|
|
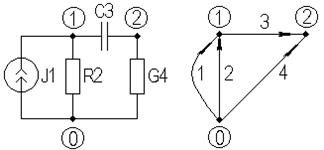
В качестве примера рассмотрим цепь, изображенную на рис. 4.1.

Рисунок 4.1 – Пассивная RC -цепь
Матрица инциденций схемы:
.
Используя, матрицу инциденций схемы и таблицу 4.1 компонентных уравнений ветвей, в соответствии с (4.5) получаем следующую табличную систему
.
Если в начальный момент времени на емкости
есть напряжение
, то седьмой элемент вектора источников равен
.
В качестве достоинств табличного метода в сравнении с узловым либо контурным методами следует отметить возможность представления более широкого набора типов ветвей, а также возможность представления некоторых ветвей как в виде проводимости, так и в виде сопротивления. Управление представлением реактивных ветвей становится актуальным при расчете временных характеристик цепей с использованием преобразования Лапласа для перехода от алгебраических уравнений к дифференциальным и их последующим интегрированием.
В реальных схемах, кроме двухполюсных элементов, используются и более сложные элементы, например управляемые источники активных схем, поэтому расширим таблицу компонентных уравнений (таблица 4.2).
Таблица 4.2 – Компонентные уравнения идеальных элементов
| Элемент | Обозначение | Компонентные уравнения |
| Разомкнутая цепь | | |
| Короткозамкнутая цепь | | |
| Источник тока, управляемый напряжением | | |
| Источник напряжения, управляемый напряжением | | |
| Источник тока, управляемый током | | |
| Источник, напряжения управляемый током | | |
| Операционный усилитель | | |
Для иллюстрации табличного метода в качестве примера рассмотрим схему рис. 4.2, содержащую источник напряжения, управляемый напряжением (ИНУН).

Рисунок 4.2 – Схема с источниками напряжения, управляемого напряжением
Ввиду громоздкости табличной матрицы запишем лишь матрицу инциденций

и компонентные уравнения рассматриваемой схемы
.
Из примера видно, что коэффициенты табличной системы получаются чрезвычайно разряженными. Для сравнения различных методов удобно ввести показатель заполнения:
D = число ненулевых элементов/общее число элементов.
Для данного примера табличная система размерностью
имеет
ненулевых элементов. Следовательно,
.
Недостаток табличного метода заключается в большом размере систем уравнений и требовании специальных алгоритмов решения разряженных систем уравнений. Причем структура уравнений такова, что затрудняет использование более простых алгоритмов для разряженных матриц с симметричной структурой.