Имея средства моделирования поверхностей, естественно на их основе перейти к моделированию объемных тел. В системах 3D моделирования реализовано численное представление объемных тел, ограниченных набором поверхностей. При этом данное тело рассматривается не как пустой объем, а как сплошной объект (solid), обладающий такими физическими свойствами, как плотность, моменты инерции и масса. Это позволяет проводить полноценное моделирование поведения деталей и конструкций с учетом инерции и теплопередачи.
Тело представляется набором ограничивающих его поверхностей, составляющих оболочку тела (Рис. 7.1).

Рис. 7.1 – Тело и его оболочка.
Оболочка выделяет часть пространства, находящуюся "внутри" тела. Оболочки тела не должны пересекать друг друга и сами себя. В ряде случаев тело определяется несколькими оболочками. Например, внутренние полости в теле ограничены дополнительной оболочкой, находящейся внутри основной.


Рис. 7.2 – Внешние и внутренние оболочки тела.
Оболочки состоят из набора граней. Каждая грань базируется на некоторой поверхности. Грань отличается от поверхности тем, что кроме поверхности, она несет информацию о связях с соседними гранями и об ориентации по отношению к внутреннему объему тела (Рис. 7.3). Одной своей стороной каждая оболочка обращена внутрь тела, а другой — наружу. Для того чтобы отличать сторону оболочки, направленную наружу тела, от стороны, направленной внутрь тела, каждой точке оболочки приписывается нормаль, которая считается направленной наружу тела.
|
|
|
![]() |


Рис. 7.3 – Грани и поверхности тела.
Существует несколько подходов к описанию тел. Наиболее широко применяются способы, известные как C-Rep и B-Rep.
Способ C-Rep(constructive representation) заключается в представлении любого тела как совокупности базовых тел: призм, цилиндров, сфер, конусов. Комбинируя базовые тела различным образом, можно получить достаточно большое разнообразие моделей. Трехмерное моделирование в системе AutoCAD фактически выполнено по способу C-Rep, хотя и с существенными дополнениями.
Способ C-Repобеспечивает выполнение булевских операцийобъединения, пересечения и вычитания над базовыми и производными телами (Рис. 7.4).
Объединение | Разность | Пересечение | |
Множества | | | |
Твердые тела | | | |
Рис. 7.4 – Булевские операции над множествами и твердыми телами.
Результатом операции объединения двух телявляется тело, которое содержит точки, принадлежащие внутреннему объему или первого, или второго тела. Результатом операции пересечения двух тел является тело, которое содержит точки, принадлежащие внутреннему объему как первого, так и второго тела. Результатом операции вычитания двух тел является тело, которое содержит точки, принадлежащие внутреннему объему первого, но не принадлежащие внутреннему объему второго тела.
|
|
|
Операцию вычитания телможно свести к операции пересечения. Для этого нужно вывернуть второе тело "наизнанку" и найти точки его объема, одновременно принадлежащие и объему первого тела. Вывернутое наизнанку тело S обозначается
. Тогда
. Все булевы операции выполняются по единому алгоритму.
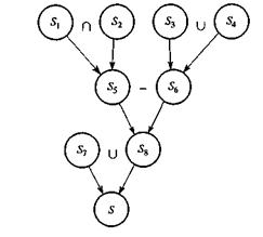
Для редактирования тела необходима информация о последовательности и способах его построения, поэтому в модель тела включают еще и дерево построения тела. В дереве построения хранится последовательность операций, выполнение которых привело к получению тела (Рис. 7.5). Результирующее тело находится в корне дерева, а его ветви начинаются в простых телах. В узлах находятся тела. Дерево имеет несколько ярусов. Операции обозначены соответствующими знаками и выполняются между телами одного яруса.

Рис. 7.5 – Дерево построения тела и его представление в системе Компас 3D.
Способ B-rep(boundary representation) является более общим и пригодным для моделирования тел произвольной формы. При этом способе тело задается математическим описанием ограничивающих его оболочек. Каждая оболочка строится из набора стыкующихся друг с другом поверхностей произвольной формы, содержащих полную информацию о своих границах и связях с соседями.
Взаимное расположение поверхностей задается графом смежности (Рис. 7.6).

| Х | ||||
| Х | ||||
| Х | ||||
| Х |
Рис. 7.6 - Тело, его граф смежности и соответствующая матрица.
Зная математическое описание каждой поверхности тела и граф смежности, можно вычислить местоположение ребер и вершин тела. Ребро L между пересекающимися поверхностями
и
находится как решение системы уравнений
| (5) |
