а) Если a вещественный корень многочлена, то существует единственное представление многочлена в виде
P(x) = (x – a)a P1(x), a³1, P1(a)¹0.
Число a называется кратностью корня. Другое эквивалентное определение кратности корня дается в терминах производных: a – это порядок первой, не равной нулю производной в точке a: P(a)= P¢(a)=…= P(a-1)(a)=0, P(a)(a)¹0.
б) Если w = u + i v, v¹0 комплексный корень многочлена с действительными коэффициентами, то сопряженное комплексное число
= u - i v также является корнем многочлена. Это утверждение следует из свойств операции комплексного сопряжения:
,
, для действительного числа x справедливо равенство
. Поэтому, если w корень многочлена P(x) = a0+…+akxk+…+ anxn, то
=
=
= P(
).
Тогда существует единственное представление многочлена в виде
P(x) = (x2+px+q)b P1(x), b³1, P1(w)¹0,
(x - w)(x -
)=(x - u - i v)(x - u + i v)=(x-u)2+v2=x2-2ux+u2+v2= x2+px+q.
в) Любой многочлен можно разложить в произведение по своим корням
,
где A – старший коэффициент многочлена, a1,a2,…, ar - действительные корни кратностей a1,a2,…, ar, а w1,w2,…, ws комплексные корни кратностей b1,b2,…, bs. Связь между комплексными корнями и сомножителями в разложении многочлена следующая x2+pkx+qk=(x - wk)(x -
k).
Определение. Рациональная функция (отношение двух многочленов)
) называется правильной дробью, если порядок многочлена числителя строго меньше порядка многочлена в знаменателе.
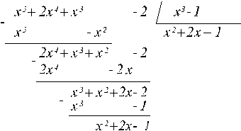
Утверждение. Любую рациональную функцию можно представить в виде многочлена (целая часть) плюс правильная дробь.
, - R(x) – многочлен, дробь
- правильная.
R(x) – называется целой частью, а дробь P1/Q1 – остатком. Остаток и целую часть можно получить делением «уголком».
Пример: 








