Они разрушаются МОНОАМИООКСИДАЗОЙ (МАО).
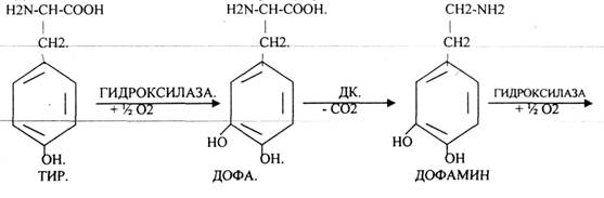
В АДРЕНЕРГИЧЕСКИХ синапсах медиаторы образуются из ТИР.


В СЕРОТОНИНЕРГИЧЕСКИХ синапсах медиатор образуется изТРИ.

-это раздел изучающий патологию и физиологию новорожденного ребенка.
Периоды развития плода и новорожденного:
- внутриутробное
- антенатальный
- интранатальный
- постнатальный
Неонатальный период – от момента родов до 28 дня жизни.
- Ранний – до 6 дня (компенсаторные механизмы)
- Поздний – с 6 по 28 день.
Перинатальный период – с 22недели гестации до 7 дня жизни.
Младенческая смертность – число детей умерших на первом году жизни, вычисленное на 1000 детей родившихся живыми.
- Ранняя младенческая смертность – число детей умерших в первые 7 суток жизни, на 1000 детей родившихся живыми.
- Неонатальная смертность – число детей умерших в первые 28 дней жизни, на 1000 детей родившихся живыми.
Перинатальная смертность – число мертворожденных детей с 22 недели + умершие в первые 7 суток жизни, на число детей родившимися живыми и мертвыми.
Гестационный возраст – количество полных недель, прошедших между первым днем последней менструации и родами.
- Доношенный ребенок – 37-42 недели (260-294 дня).
- Переношенный ребенок – срок более 42 недель.
- Недоношенный ребенок – срок менее 37 недель.
Критерии живорожденности (любой из них):
- Сердцебиение,
- Самостоятельное дыхание,
- Произвольные сокращения мускулатуры,
- Пульсация пуповины.
Критерии жизнеспособности:
- Срок гестации 22 недели и более,
- Масса тела 500 грамм и более,
- Длина тела 25 см и более
Критерии морфофункциональной зрелости:
1.Морфологические.
- Прозрачность кожи,
- Лануго (пушковое оволосение – между лопатками),
- Поперечная исчерченность на подошвах (2/3 поверхности),
- Диаметр ореолы соска (N 1см.),
- Формирование хряща ушной раковины,
- Формирование гениталий,
- Расположение пупочечного кольца на ½ расстояния между мечевидным отростком и лоном.
2.Физиологические.
- Поза,
- Эмоциональность и громкость крика,
- Положение конечностей,
- Удержание головы в положении «сидя».
Период новорожденности – период адаптации к условиям внеутробной жизни и окончание его, определяется исчезновением пограничных состояний (от 2 ½ – 3 ½ недели).
Фазы адаптационных реакций:
- первые 30 минут жизни – острая респираторно-гемодинамическая адаптация
- 1-6ч жизни – период аутостабилизации
- 3-4е сутки жизни – напряженная метаболическая адаптация
§ Транзиторная гипервентиляция (компенсация ацидоза при рождении),
§ Первый вдох – нарастание в родах гипоксемии, гиперкапнии, ацидоз→активация ретикулярной формации→дыхательный центр
§ Транзиторное кровообращение. Дыхательные движения→растяжение грудной клетки→отрицательное давление внутри неё→выравнивание давлений в легочной артерии и аорте→давление в легочной артерии становиться ниже чем аорте→обратное шунтирование (из аорты через артериальный проток в легочную артерию) →может быть цианоз нижних конечностей.
§ Транзиторная гиперволемия. Причины. Прохождение по родовым путям→около 30% плодной легочной жидкости (30 мл/кг) →всасывается в кровь и лимфу→повышение ОЦК. Активная секреция антидиуретического гормона сразу после рождения. Перевязка пуповины→max плацентарной трансфузии→повышение ОЦК.
§ Потеря первоначальной массы тела (5-6% в основном за счет воды; 7-10% гематокрит выше 0,7, белок в N 59-65 г/л, снижение диуреза (N 20-30мл/сут); патология более 10% - эксикоз вялость, жажда, снижение тургора, сухость, повышение температуры, гематокрит выше 0,7, белок выше 70г/л).
§ Нарушение теплового обмена. Особенности. Более высокая теплоотдача по отношению к теплопродукции. Резко ограничена способность увеличивать теплоотдачу при перегревании или способность увеличивать теплопродукцию при охлаждении. Неспособность давать типичную лихорадочную реакцию (нечувствительность мозга к лейкоцитарному пирогену и большая концентрация в крови аргинин-вазопрессина - снижает температуру тела)
Ø Транзиторная гипотермия. Снижение температуры тела в первые 30 минут на 0,30С в 1 минуту. При рождении температура окружающей среды снижается на 12-150С.
Ø Транзиторная гипертермия на 3-5-й день. Обусловлена перегреванием, недопаивание, обезвоживание. Назначение жидкости – 5% раствор глюкозы до 50-100 мл внутрь.
§ Физиологические изменения кожи.
Ø Простая эритема – удаление первородной смазки.
Ø Физиологическое шелушение на 3-5-й день.
Ø Родовая опухоль.
Ø Токсическая эритема – на 2-5-й день; эритематозные пятна с серовато-желтоватами пузырьками на разгибательных поверхностях конечностей вокруг суставов, на ягодицах, груди, животе, лице. Аллергоидная реакция. Назначают дополнительное питьё 30-60 мл 5% раствора глюкозы.
§ Половой криз (смена материнских гормонов на свои собственные).
Ø Нагрубание молочных желез (физиологическая мастопатия – рост пролактина) на 3-4 день жизни и max на 7-8 день, max d 1,5-2 см, может быть выделение жидкости. Можно делать теплые стерильные повязки при большом нагрубании (защита от инфицирования), можно сделать компресс с камфорным маслом.
Ø Десквамативный вульвовагинит
Ø Метроррагия (падение эстрогенов)
Ø Милиа – беловато-желтые узелки размером 1-2 мм на крыльях носа, переносице, область лба, подбородок (обильная секреция сальных желез, но закупорка выводных протоков). В случае их воспаления обработать 0,5% раствором перманганата калия.
Ø Отек наружных половых органов
§ Физиологический катар кишечника (физиологическая диспепсия, переходный катар). Первородный кал (меконий) лишь в течении 1-2-х дней→становиться негомогенным и более водянистым, при микроскопии – слизь, лейкоциты до 30 в поле зрения, жирные кислоты→через 2-4 дня гомогенный, микроскопия – нет кристаллов жирных кислот, лейкоциты до 10-20.
§ Транзиторный дисбактериоз (заселению фроры способствует снижение барьерной функции кожи и слизистых в первые сутки жизни). Фазы заселения:
Ø Асептическая первые 10-20 часов жизни
Ø Нарастание инфицирования до 3-5 дня жизни
Ø Стадия трансформации с конца 1-й недели на 2-й недели, бифидофлора становиться основной.
§ Физиологическая желтуха (билирубин до 171 мкмоль/л). Причины. Повышенное образование билирубина: гибель эритроцитов с фетальным гемоглобином, неэффективный эритропоэз, преобладание катаболизма. Понижение функциональной способности печени: снижение захвата НБ гепатоцитами, низкая активность глюкуранилтрансферазы, снижена способность выведения Б гепатоцитами.
§ Особенности почек
Ø физиологическая олигоурия (менее 15 мл/кг в сутки). Причины. Повышенная активность АДГ, приходит в норму примерно через 2-4 часа после рождения. Физиологическое голодание в первые дни. Активная перспирация – 1 мл/кг/ч.
Ø Снижение резорбции, белок 0,033-0,066, исчезает на 2-7 день; следствие повышенной проницаемости эпителия клубочков, канальцев.
Ø Мочекислая нефропатия (мочекислый инфаркт) – 4-6день из-за катабалической направленности обмена (катаболизм лейкоцитов→из ядра выход пуриновых и пиримидиновых оснований→мочевая кислота), снижен pH в канальцах до 5, кристаллы уратов – оранжевая моча, питье 0.5% соды,
Ø Катаболическая направленность (калораж молока низкий). Усиливается катаболизм – лейкоцитов (полиморфно-ядерные и лимфоциты), эритроциты, поперечно-полосатые мышцы.
Ø Активированный гликолиз (понижен уровень глюкозы в крови). Обусловлено голоданием и эндокринологическим статусом. Используются запасы гликогена, но они заканчиваются через 3 часа после рождения. В родах повышается концентрация в крови адреналина и глюкагона→гликогенолиз; высокие уровни кортизола и СТГ – стимуляция глюконеогенеза; снижение концентрации инсулина в крови в первые часы жизни и дней – стимулирует; возрастание числа глюкагоновых рецепторов в печени.
Ø Активированный липолиз. Расщепление бурого жира – энергопотребности. В крови также будет наблюдаться повышение кетоновых тел в пуповинной крови – окисление жира при недостатке углеводов происходит не полностью.
Ø Транзиторный ацидоз. В родах: уменьшение маточно-плацентарного кровотока→гипоксемия→pH при рождении 7,27→тенденция к нарастанию Pco2 и нарастание лактата в крови. Восстановление происходит во вторую половину 1-х суток.






