Условные законы распределения составляющих
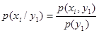
Рассмотрим дискретную двумерную случайную величину и найдем закон распределения составляющей Х при условии, что Y примет определенное значение (например, Y = у 1). Для этого воспользуемся формулой Байеса, считая гипотезами события Х = х 1, Х = х 2,…, Х = хп, а событием А – событие Y = у 1. При такой постановке задачи нам требуется найти условные вероятности гипотез при условии, что А произошло. Следовательно,
.
Таким же образом можно найти вероятности возможных значений Х при условии, что Y принимает любое другое свое возможное значение:
. (8.5)
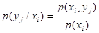
Аналогично находят условные законы распределения составляющей Y:
. (8.5`)
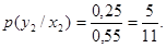
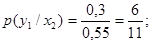
Пример. Найдем закон распределения Х при условии Y = -0,8 и закон распределения Y при условии Х = 3 для случайной величины, рассмотренной в примере 1.









