Некоторые числовые характеристики одномерных случайных величин: начальные и центральные моменты, мода, медиана, квантиль, коэффициенты асимметрии и эксцесса. Числовые характеристики двумерных случайных величин: начальные и центральные моменты. Корреляционный момент и коэффициент корреляции. Коррелированность и зависимость случайных величин.
Определение 9.1. Начальным моментом порядка k случайной величины Х называется матема-тическое ожидание величины Xk:
ν k = M (Xk). (9.1)
В частности, ν1 = М (Х), ν2 = М (Х 2). Следовательно, дисперсия D (X) = ν2 – ν1².
Определение 9.2. Центральным моментом порядка k случайной величины Х называется мате-матическое ожидание величины (Х – М (Х)) k:
μ k = M ((Х – М (Х)) k). (9.2)
В частности, μ1 = M (Х – М (Х)) = 0, μ2 = M ((Х – М (Х))2) = D (X).
Можно получить соотношения, связывающие начальные и центральные моменты:

Мода и медиана.
Такая характеристика случайной величины, как математическое ожидание, называется иногда характеристикой положения, так как она дает представление о положении случайной величии-ны на числовой оси. Другими характеристиками положения являются мода и медиана.
|
|
|
Определение 9.3. Модой М дискретной случайной величины называется ее наиболее вероятное значение, модой М непрерывной случайной величины – значение, в котором плотность вероятности максимальна.
Пример 1.
Если ряд распределения дискретной случайной величины Х имеет вид:
| Х | ||||
| р | 0,1 | 0,7 | 0,15 | 0,05 |
то М = 2.
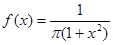
Пример 2.
Для непрерывной случайной величины, заданной плотностью распределения
, модой является абсцисса точки максимума: М = 0.
Замечание 1. Если кривая распределения имеет больше одного максимума, распределение называется полимодальным, если эта кривая не имеет максимума, но имеет минимум – анти-модальным.
Замечание 2. В общем случае мода и математическое ожидание не совпадают. Но, если распре-деление является симметричным и модальным (то есть кривая распределения симметрична от-носительно прямой х = М) и имеет математическое ожидание, оно совпадает с модой.
Определение 9.4. Медианой Ме непрерывной случайной величины называют такое ее значение, для которого
p (X < Me) = p (X > Me). (9.3)
Графически прямая х = Ме делит площадь фигуры, ограниченной кривой распределения, на две равные части.
Замечание. Для симметричного модального распределения медиана совпадает с математичес-ким ожиданием и модой.
Определение 9.5. Для случайной величины Х с функцией распределения F (X) квантилью порядка р (0 < p < 1) называется число Кр такое, что F (Kp) ≤ p, F (Kp + 0) ≥ p. В частности, если F (X) строго монотонна, Кр: F (Kp) = p.
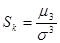
Если распределение не является симметричным, можно оценить асимметрию кривой распреде-ления с помощью центрального момента 3-го порядка. Действительно, для симметричного распределения все нечетные центральные моменты равны 0 (как интегралы от нечетных функ-ций в симметричных пределах), поэтому выбран нечетный момент наименьшего порядка, не тождественно равный 0. Чтобы получить безразмерную характеристику, его делят на σ3 (так как μ3 имеет размерность куба случайной величины).
|
|
|
Определение 9.6. Коэффициентом асимметрии случайной величины называется

. (9.4)

Рис.1. Рис.2.
В частности, для кривой, изображенной на рис.1, Sk > 0, а на рис.2 - Sk < 0.
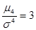
Для оценки поведения кривой распределения вблизи точки максимума (для определения того, насколько «крутой» будет его вершина) применяется центральный момент 4-го порядка.
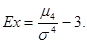
Определение 9.7. Эксцессом случайной величины называется величина
(9.5)
Замечание. Можно показать, что для нормального распределения
, и, соответственно, Ех = 0. Для кривых с более острой вершиной Ех > 0, в случае более плоской вершины Ех < 0.