Дискретной двумерной случайной величины.
Условные законы распределения составляющих
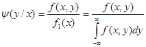
Определение 8.3. Условной плотностью φ(х / у) распределения составляющих Х при данном значении Y = у называется
. (8.6)
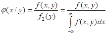
Аналогично определяется условная плотность вероятности Y при Х = х:
. (8.6`)
Система двух случайных величин называется равномерно распределенной на плоскости, если ее плотность вероятности f (x, y) = const внутри некоторой области и равна 0 вне ее. Пусть данная область – прямоугольник вида
Тогда из свойств f (x, y) следует, что 
Найдем двумерную функцию распределения:
при a < x < b, c < y < d, F (x, y) = 0 при x ≤ a или y ≤ c, F (x, y) = 1 при x ≥ b, y ≥ d.
Функции распределения составляющих, вычисленные по формулам, приведенным в свойстве 4 функции распределения, имеют вид: 