Функции от случайных величин. Функция одного случайного аргумента, ее распределение и математическое ожидание. Функция двух случайных аргументов. Распределение суммы независимых слагаемых. Устойчивость нормального распределения.
Лекция 10.
В предыдущих лекциях рассматривались некоторые законы распределения случайных величин. При решении задач часто удобно бывает представить исследуемую случайную величину как функцию других случайных величин с известными законами распределения, что помогает уста-новить и закон распределения заданной случайной величины.
Определение 10.1. Если каждому возможному значению случайной величины Х соответствует одно возможное значение случайной величины Y, то Y называют функцией случайного аргу-мента Х: Y = φ (X). Выясним, как найти закон распределения функции по известному закону распределения аргумента.
1) Пусть аргумент Х – дискретная случайная величина, причем различным значениям Х соот-ветствуют различные значения Y. Тогда вероятности соответствующих значений Х и Y равны.
Пример 1. Ряд распределения для Х имеет вид: Х 5 6 7 8
р 0,1 0,2 0,3 0,4
Найдем закон распределения функции Y = 2 X ² - 3: Y 47 69 95 125
р 0,1 0,2 0,3 0,4
(при вычислении значений Y в формулу, задающую функцию, подставляются возможные значения Х).
2) Если разным значениям Х могут соответствовать одинаковые значения Y, то вероятности значений аргумента, при которых функция принимает одно и то же значение, складываются.
Пример 2. Ряд распределения для Х имеет вид: Х 0 1 2 3
р 0,1 0,2 0,3 0,4
Найдем закон распределения функции Y = X ² - 2 Х: Y -1 0 3
р 0,2 0,4 0,4
(так как Y = 0 при Х = 0 и Х = 2, то р (Y = 0) = р (Х = 0) + р (Х = 2) = 0,1 + 0,3 = 0,4).
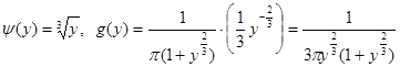
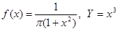
3) Если Х – непрерывная случайная величина, Y = φ (X), φ (x) – монотонная и дифференцируемая функция, а ψ (у) – функция, обратная к φ (х), то плотность распределения g (y) случайно функции Y равна:
(10.1)
Пример 3.
. Тогда 
Пусть Y = φ (X) – функция случайного аргумента Х, и требуется найти ее математическое ожидание, зная закон распределения Х.
1) Если Х – дискретная случайная величина, то
(10.2)
Пример 3. Найдем M (Y) для примера 1: M (Y) = 47·0,1 + 69·0,2 + 95·0,3 + 125·0,4 = 97.
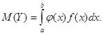
2) Если Х – непрерывная случайная величина, то M (Y) можно искать по-разному. Если известна плотность распределения g (y), то
(10.3)
Если же g (y) найти сложно, то можно использовать известную плотность распределения f (x):
(10.4)
В частности, если все значения Х принадлежат промежутку (а, b), то
(10.4`)