Лекция 11. Устойчивость нормального распределения

Устойчивость нормального распределения.

Определение 10.3. Закон распределения вероятностей называется устойчивым, если компози-ция таких законов есть тот же закон (возможно, отличающийся другими значениями парамет-ров).

В частности, свойством устойчивости обладает нормальный закон распределения: композиция нормальных законов тоже имеет нормальное распределение, причем ее математическое ожидание и дисперсия равны суммам соответствующих характеристик слагаемых.

Нормальный закон распределения на плоскости. Линейная регрессия. Линейная корреляция.

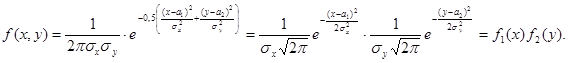
Определение 11.1. Нормальным законом распределения на плоскости называют распре-деление вероятностей двумерной случайной величины (X, Y), если

(11.1)

Таким образом, нормальный закон на плоскости определяется 5 параметрами: а 1, а 2, σх, σу, rxy, где а 1, а 2 математические ожидания, σх, σу – средние квадратические отклонения, rxy – коэффи-циент корреляции Х и Y. Предположим, что rxy = 0, то есть Х и Y некоррелированы. Тогда из (11.1) получим:

Следовательно, из некоррелированности составляющих нормально распределенной двумерной случайной величины следует их независимость, то есть для них понятия независимости и некоррелированности равносильны.





Подборка статей по вашей теме: