Функция двух случайных величин. Распределение суммы
Определение 10.2. Если каждой паре возможных значений случайных величин Х и Y соответ-ствует одно возможное значение случайной величины Z, то Z называют функцией двух случайных аргументов X и Y: Z = φ (X, Y).
Рассмотрим в качестве такой функции сумму Х + Y. В некоторых случаях можно найти ее закон распределения, зная законы распределения слагаемых.
1) Если X и Y – дискретные независимые случайные величины, то для определения закона распределения Z = Х + Y нужно найти все возможные значения Z и соответствующие им вероятности.
Пример 4. Рассмотрим дискретные случайные величины X и Y, законы распределения которых имеют вид: Х -2 1 3 Y 0 1 2
р 0,3 0,4 0,3 р 0,2 0,5 0,3
Найдем возможные значения Z: -2 + 0 = -2 (р = 0,3·0,2 = 0,06), -2 + 1 = -1 (р = 0,3·0,5 = 0,15), -2 + 2 = 0 (р = 0,3·0,3 = 0,09), 1 + 0 = 1 (р = 0,4·0,2 = 0,08), 1 + 1 = 2 (р = 0,4·0,5 = 0,2), 1 + 2 = 3 (р = 0,4·0,3 = 0,12), 3 + 0 = 3 (р = 0,3·0,2 = 0,06), 3 + 1 = 4 (р = 0,3·0,5 = 0,15), 3 + 2 = 5 (р = 0,3·0,3 = 0,09). Сложив вероятности повторившегося дважды значения Z = 3, составим ряд распределения для Z:
|
|
|
| Z | -2 | -1 | ||||||
| р | 0,06 | 0,15 | 0,09 | 0,08 | 0,2 | 0,18 | 0,15 | 0,09 |
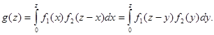
3) Если X и Y – непрерывные независимые случайные величины, то, если плотность вероятно-сти хотя бы одного из аргументов задана на (-∞, ∞) одной формулой, то плотность суммы g (z) можно найти по формулам
(10.5)
где f 1(x), f 2(y) – плотности распределения слагаемых. Если возможные значения аргументов неотрицательны, то
(10.6)
Замечание. Плотность распределения суммы двух независимых случайных величин называют композицией.






