Распределения «хи-квадрат», Стьюдента и Фишера. Связь этих распределений с нормаль-ным распределением.
Лекция 12.
Рассмотрим некоторые распределения, связанные с нормальным и широко применяющиеся в математической статистике.
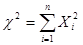
Пусть имеется несколько нормированных нормально распределенных случайных величин: Х 1, Х 2,…, Хп (ai = 0, σi = 1). Тогда сумма их квадратов
(12.1)
является случайной величиной, распределенной по так называемому закону «хи-квадрат» с k = n степенями свободы; если же слагаемые связаны каким-либо соотношением (например,
), то число степеней свободы k = n – 1.
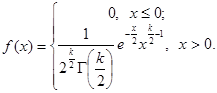
Плотность этого распределения
(12.2)
Здесь
- гамма-функция; в частности, Г(п + 1) = п!.
Следовательно, распределение «хи-квадрат» определяется одним параметром – числом степе-ней свободы k.
Замечание 1. С увеличением числа степеней свободы распределение «хи-квадрат» постепенно приближается к нормальному.
Замечание 2. С помощью распределения «хи-квадрат» определяются многие другие распреде-ления, встречающиеся на практике, например, распределение случайной величины
- длины случайного вектора (Х 1, Х 2,…, Хп), координаты которого независимы и распределены по нормальному закону.
|
|
|






