Распределение Стьюдента.
Рассмотрим две независимые случайные величины: Z, имеющую нормальное распределение и нормированную (то есть М (Z) = 0, σ (Z) = 1), и V, распределенную по закону «хи-квадрат» с k степенями свободы. Тогда величина
(12.3)
имеет распределение, называемое t – распределением или распределением Стьюдента с k степенями свободы.
С возрастанием числа степеней свободы распределение Стьюдента быстро приближается к нормальному.
Рассмотрим две независимые случайные величины U и V, распределенные по закону «хи-квадрат» со степенями свободы k 1 и k 2 и образуем из них новую величину
. (12.4)
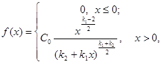
Ее распределение называют распределением F Фишера – Снедекора со степенями свободы k 1 и k 2. Плотность его распределения имеет вид
(12.5)
где
. Таким образом, распределение Фишера определяется двумя параметрами – числами степеней свободы.






