Критерий Пирсона для проверки гипотезы о виде закона распределения случайной величины. Проверка гипотез о нормальном, показательном и равномерном распреде-лениях по критерию Пирсона. Критерий Колмогорова. Приближенный метод проверки нормальности распределения, связанный с оценками коэффициентов асимметрии и эксцесса.
В предыдущей лекции рассматривались гипотезы, в которых закон распределения генеральной совокупности предполагался известным. Теперь займемся проверкой гипотез о предполагаемом законе неизвестного распределения, то есть будем проверять нулевую гипотезу о том, что генеральная совокупность распределена по некоторому известному закону. Обычно статистические критерии для проверки таких гипотез называются критериями согласия.
Достоинством критерия Пирсона является его универсальность: с его помощью можно проверять гипотезы о различных законах распределения.
1. Проверка гипотезы о нормальном распределении.
Пусть получена выборка достаточно большого объема п с большим количеством различ-ных значений вариант. Доя удобства ее обработки разделим интервал от наименьшего до наибольшего из значений вариант на s равных частей и будем считать, что значения вари
|
|
|
ант, попавших в каждый интервал, приближенно равны числу, задающему середину интервала. Подсчитав число вариант, попавших в каждый интервал, составим так называемую сгруппированную выборку:
варианты х 1 х 2 хs
частоты п 1 п 2 пs,
где хi – значения середин интервалов, а пi – число вариант, попавших в i -й интервал (эмпи-рические частоты).
По полученным данным можно вычислить выборочное среднее
и выборочное среднее квадратическое отклонение σВ. Проверим предположение, что генеральная совокупность распределена по нормальному закону с параметрами M (X) =
, D (X) =
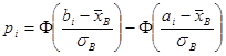
. Тогда можно найти количество чисел из выборки объема п, которое должно оказаться в каждом интер-вале при этом предположении (то есть теоретические частоты). Для этого по таблице значений функции Лапласа найдем вероятность попадания в i -й интервал:
,
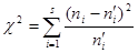
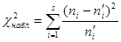
где аi и bi - границы i -го интервала. Умножив полученные вероятности на объем выборки п, найдем теоретические частоты: пi =n?pi. Наша цель – сравнить эмпирические и теоретические частоты, которые, конечно, отличаются друг от друга, и выяснить, являются ли эти различия несущественными, не опровергающими гипотезу о нормальном распределении исследуемой случайной величины, или они настолько велики, что противоречат этой гипотезе. Для этого используется критерий в виде случайной величины
. (20.1)
Смысл ее очевиден: суммируются части, которые квадраты отклонений эмпирических частот от теоретических составляют от соответствующих теоретических частот. Можно доказать, что вне зависимости от реального закона распределения генеральной совокупно-сти закон распределения случайной величины (20.1) при
стремится к закону распределения
(см. лекцию 12) с числом степеней свободы k = s – 1 – r, где r – число параметров предполагаемого распределения, оцененных по данным выборки. Нормальное распределение характеризуется двумя параметрами, поэтому k = s – 3. Для выбранного критерия строится правосторонняя критическая область, определяемая условием
|
|
|
(20.2)
где α – уровень значимости. Следовательно, критическая область задается неравенством
а область принятия гипотезы -
.
Итак, для проверки нулевой гипотезы Н 0: генеральная совокупность распределена нормально – нужно вычислить по выборке наблюдаемое значение критерия:
, (20.1`)
а по таблице критических точек распределения χ2 найти критическую точку
, используя известные значения α и k = s – 3. Если
- нулевую гипотезу принимают, при
ее отвергают.
2. Проверка гипотезы о равномерном распределении.
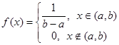
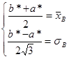
При использовании критерия Пирсона для проверки гипотезы о равномерном распределе-нии генеральной совокупности с предполагаемой плотностью вероятности

необходимо, вычислив по имеющейся выборке значение
, оценить параметры а и b по формулам:
, (20.3)
где а* и b* - оценки а и b. Действительно, для равномерного распределения М (Х) =
,
, откуда можно получить систему для определения а* и b *:
, решением которой являются выражения (20.3).
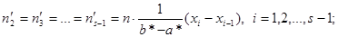
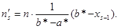
Затем, предполагая, что
, можно найти теоретические частоты по формулам



Здесь s – число интервалов, на которые разбита выборка.
Наблюдаемое значение критерия Пирсона вычисляется по формуле (20.1`), а критическое – по таблице с учетом того, что число степеней свободы k = s – 3. После этого границы критической области определяются так же, как и для проверки гипотезы о нормальном распределении.
3. Проверка гипотезы о показательном распределении.
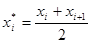
В этом случае, разбив имеющуюся выборку на равные по длине интервалы, рассмотрим последовательность вариант
, равноотстоящих друг от друга (считаем, что все варианты, попавшие в i – й интервал, принимают значение, совпадающее с его серединой), и соответствующих им частот ni (число вариант выборки, попавших в i – й интервал). Вычислим по этим данным
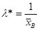
и примем в качестве оценки параметра λ величину
. Тогда теоретические частоты вычисляются по формуле

Затем сравниваются наблюдаемое и критическое значение критерия Пирсона с учетом того, что число степеней свободы k = s – 2.