Классификация как методы товароведения
ТЕМА 2. Классификация и кодирование, как методы товароведения
1. Классификация как методы товароведения
2. Кодирование как методы товароведения
Классификация – это разделение множества объектов на подмножества по их сходству или различию в соответствии с принятыми методами.
Признак классификации – свойство или характеристика объекта, по которому проводится классификация
В товароведении выделяют 2 метода классификации:
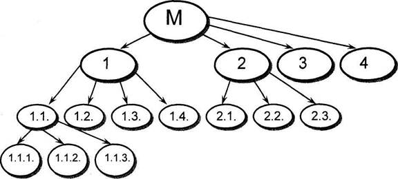
Иерархический метод классификации – последовательное разделение множества объектов на подчиненные классификационные группировки
Фасетный метод классификации – параллельное разделение множества объектов на независимые классификационные группировки
Преимущества и недостатки иерархического и фасетного методов классификации
| Метод | Преимущество | Недостатки |
| Иерархический | Возможность выделения общности и сходства признаков объектов на одной и разных ступенях, высокая информационная насыщенность | При большой глубине: чрезмерная громоздкость, высокие затраты, иногда необоснованные, трудность применения При небольшой глубине: информационная недостаточность, неполный охват объектов и признаков |
| Фасетный | Гибкость системы, удобство использования, возможность ограничения количества признаков без утраты достаточности охвата объектов | Невозможность выделения общности и различий между объектами в разных классификационных группировках |
Правила классификации предназначены для выбора разновидностей метода и признаков, по которым осуществляется деление множества на подмножества. Важнейшим правилом для иерархического и фасетного методов является выбор разновидности метода классификации в зависимости от ее целевого назначения. Правила классификации объектов при иерархическом методе:
|
|
|
1. Деление множества следует начинать с наиболее общих признаков.
2. На каждой ступени можно использовать только один признак, имеющий принципиальное значение для этого этапа.
3. Разделение объектов должно осуществляться последовательно от большего к меньшему, от общего к частному.
4. Необходимо установить оптимальное число признаков, ступеней и глубины.

| Рис. 1. Иерархический метод классификации |

Рис. 2. Фасетный метод классификации
Кодирование – образование и присвоение кода классификационной группировке и (или) объекту классификации. Кодирование как метод товароведения позволяет облегчить учет товаров, путем их систематизации.
Код – знак или совокупность знаков, принятых для обозначения классификационной группировки и (или) объекта классификации.
|
|
|
Структура кода – условное обозначение состава и последовательности расположения знаков в коде
Алфавит кода – система знаков, принятых для образования кода
Буквенный алфавит кода – алфавит кода, знаками которого являются буквы алфавитов естественных языков
Цифровой алфавит кода – алфавит кода, знаками которого являются цифры
Буквенно-цифровой алфавит кода – алфавит кода, знаками которого являются буквы алфавитов естественных языков и цифры
Разряд кода – позиция знака в коде
Длина кода – число знаков в коде без учета пробелов
Контрольное число – рРасчетное число, исполтзуемое для проверки правильности записи кода
| Содержание исследуемого варианта кодов | Характеристика кода | |||
| алфавит | основание | длина | разряд | |
| Например: | ||||
| ОКП 91 3124 | цифровой | класс 91 – продукция пищевой промышленности подкласс 3 – изделия кондитерские мучные группа 1 – печенье подгруппа 2 – печенье сдобное вид 4 – в наборах и смесях |
Штриховое кодирование.
В настоящее время (по состоянию на 2001 г.) система EAN/UCC объединяет 92 национальные организации в 94 странах мира. Система EAN/UCC по своему статусу является необязательной и добровольной. В мире не существует нормативных актов, обязывающих предприятие (компанию) вступать в EAN и наносить на упаковку штриховые коды (исключение составляют Украина, Татарстан и Москва).
В Российской Федерации национальной организацией товарной нумерации – членом EAN International является Ассоциация автоматической идентификации ЮНИСКАН/EAN РОССИЯ. Она насчитывает около 5000 предприятий-членов. Всем им присвоены уникальные идентификационные номера, которые начинаются с цифр 460 (EAN РОССИЯ).
Ассоциация пользователей EAN установила ряд обязательных и рекомендуемых требований, которые должны выполняться на всех этапах использования штрихового кода. Основные требования:
- первые два или три разряда штрихового кода должны обозначать код национального ведомства, который присвоен ассоциацией EAN. Принято называть эти разряды префиксами (флагами) и обозначать fl, f2, f3;
- идентификация товара должна быть цифровой и соответствовать формату EAN-8, EAN-13;
- каждая разновидность товара должна иметь свой идентификационный код, а любое изменение вида товара (цена, цвет, сорт, размер, упаковка) изменяет и идентификационный код товара;
- правила кодирования внутри страны, устанавливаемые национальным ведомством, должны гарантировать, что для двух различных товаров не будет одинаковых кодов;
- системы ведения штриховых кодов должны предусматривать возможность присвоения новым товарам кодов старых товаров не ранее, чем через три года после изъятия старого товара из сферы торговли;
- возможность однозначно идентифицировать товары независимо от их производителей.
Одни и те же устройства считывают коды EAN-8 и EAN-13.
Структура кода EAN/UCC
Штриховой код EAN-13 состоит из 13 цифр. Номер товара в штриховом коде EAN-13 служит ключом к информации, хранящейся в базах данных. Номер EAN-13 имеет следующую структуру (табл.7.):
- первые 2…3 цифры – это префикс национальной организации, или код национальной организации-члена EAN International (для России – 460) Их присваивает EAN International. По префиксу можно определить, в какой национальной организации зарегистрировано предприятие (прилож.1.). Предприятие самостоятельно определяет, в национальную организацию какой страны ему следует вступить. Например, вся продукция компании Coca-Cola, произведенная в Европе, имеет префикс национальной организации Бельгии-Люксембурга – 54. Эти же цифры указаны в штриховом коде на бутылках Coca-Cola, произведенных в Москве. Одно и то же предприятие может вступить одновременно в несколько национальных организаций. С помощью штрихового кода предприятие открыто заявляет о себе как о производителе данной продукции. По номеру на упаковке через национальную организацию товарной нумерации на международном рынке можно легко отыскать продукцию данного предприятия, определить изготовителя товара. Информация о кодах предприятий хранится в банке данных национальной организации. Без доступа к банку данных национальной организации определить по штриховому коду местоположение предприятия (в том числе и страну, в которой это предприятие находится) невозможно;
|
|
|
- первые 7…9 цифр, включая префикс – это регистрационный номер предприятия внутри национальной организации;
- следующая группа цифр – это порядковый номер продукции внутри предприятия;
Совокупность следующих за трехзначным префиксом девяти цифр кода содержит номер предприятия и номер товара. Большинство действующих кодов в системе ЮНИСКАН/EAN Россия имеют следующую структуру: 4 цифры – номер предприятия, 5 цифр – номер товара. Любое изменение в свойствах продукции должно повлечь за собой изменение номера EAN-13 на упаковке.
- последняя 13-я цифра – контрольное число. Оно вычисляется из предыдущих двенадцати (прилож.1.).
Штриховой код EAN-13 номинального размера занимает довольно значительную площадь на упаковке товара (примерно 37´26 мм). Стандартные размеры кода EAN-8 составляют 21,31´26,73 мм. Код EAN-8 присваивается отдельным видам продукции, отличающейся малыми размерами упаковки. Запас возможных номеров EAN-8 очень невелик. Номер EAN-8 выдается только в том случае, если символ штрихового кода EAN-13 номинального размера занимает больше 25% печатной поверхности упаковки или этикетки.
На транспортную тару, которая используется для целей складирования и транспортирования товаров, наносится 14-разрядный номер EAN-14. EAN-14 характеризуется относительно большими размерами изображения и менее строгими техническими требованиями к поверхности. По 14-разрядному номеру можно определить код EAN-13 продукции, которая находится внутри транспортной упаковки. Код имеет в своем составе 12 информационных разрядов EAN-13 (кроме контрольного), которые указывают на упакованную продукцию.
|
|
|






