Классификация терпенов
Терпены, содержащие два изопреновых звена, называются монотерпены, три – сесквитерпены, четыре – дитерпены, шесть – тритерпены, восемь – тритерпены. Терпены с одним циклом – моноциклические, с двумя – бициклические, без цикла – ациклические.
| | | |
| Бициклический монотерпен a-пинен | Ациклический монотерпеноид гераниол | Моноциклический монотерпен лимонен | Камфора бициклический монотерпен |
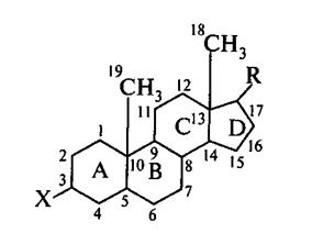
Стероиды имеют полициклическое строение, в основе лежит скелет гоннана

Общая формула стероидов

Строение стероидов
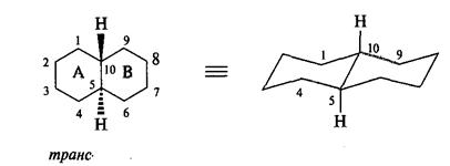
Сочленение колец В и С всегда – транс.
Сочленение колец С и D почти всегда – транс.
Сочленение колец А и В как –транс так и –цис.



Конфигурации заместителей: конфигурация a, если заместитель лежит под плоскостью кольца и b, если заместитель – над плоскостью кольца.
Классификация стероидов
Родоначальная структура
1. Андростан - у гоннана при С17 отсутствует углеводородный радикал. РС мужских половых гормонов (андрогенов).
2. Эстран - у гоннана при С17 и С13 отсутствуют углеводородные радикалы. РС женских половых гормонов (эстрогенов).
|
|
|
3. Прегнан – у гоннана при С17 радикал –СН2-СН3. РС женских половых гормонов (гестагенов) и гормонов коры надпочечников (кортикоидов).
4.
Холан - у гоннана при С17 радикал – СН-СН2–СН2-СН3
СН3
РС желчных кислот.

5. Холестан - у гоннана при С17 радикал –СН-(СН2)3–СН-СН3
СН3 СН3
РС стеринов






