Глицерофосфолипиды
Фосфолипиды
Сложные омыляемые липиды
Это омыляемые липиды, которые содержат остаток фосфорной кислоты. При гидролизе образуют фосфорную кислоту, спирт, жирные кислоты. Спирт может быть как глицерин, так и сфингозин.
Это фосфолипиды, которые содержат остаток спирта – глицерина. Среди глицерофосфолипидов наиболее распространены сложноэфирные производные L-фосфатиовых кислот.

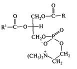
Общая формула фосфатидов (глицерофосфолипидов)

Где Х –
1. В фосфатидилсеринах (серинкефалинах) остаток аминокислоты серин 
2. В фосфатидилколаминах (коламинкефалин) остаток аминоспирта коламин HO-CH2-CH2-NH2
4. В фосфатидилхолинах (лецитины) остаток аминоспирта холин HO-CH2-CH2-N(СН3)3+
| | |
| фосфатидилхолин | фосфатидилхолин | фосфатидилхолин |
Иногда вместо аминоспиртосодержащего этерифицирующего агента в фосфолипидах содержится остаток многоатомных спиртов (мезоинозит – циклогексангексаол-1,2,3,4,5,6)






